A journal of IEEE and CAA , publishes high-quality papers in English on original theoretical/experimental research and development in all areas of automation

IEEE/CAA Journal of Automatica Sinica

  • JCR Impact Factor: 19.2, Top 1 (SCI Q1)
    CiteScore: 28.2, Top 1% (Q1)
    Google Scholar h5-index: 95, TOP 5
Turn off MathJax
Article Contents
J. Gong, L. Ding, C. Jia, Y. Liu, and J. Cao, “Toward resilient vehicle platooning: A two-layer secure control architecture against hybrid cyber-physical threats,” IEEE/CAA J. Autom. Sinica, early access, 2026. doi: 10.1109/JAS.2026.125909
Citation: J. Gong, L. Ding, C. Jia, Y. Liu, and J. Cao, “Toward resilient vehicle platooning: A two-layer secure control architecture against hybrid cyber-physical threats,” IEEE/CAA J. Autom. Sinica, early access, 2026. doi: 10.1109/JAS.2026.125909

Toward Resilient Vehicle Platooning: A Two-Layer Secure Control Architecture against Hybrid Cyber-Physical Threats

doi: 10.1109/JAS.2026.125909
Funds:  This work was supported by the Natural Science Research Startup Foundation of Recruiting Talents of Nanjing University of Posts and Telecommunications (NY224054), the Basic Research Program of Jiangsu (BK20250038), and in part by the National Natural Science Foundation of China (NSFC) (62473203, 62573122, 62576098)
More Information
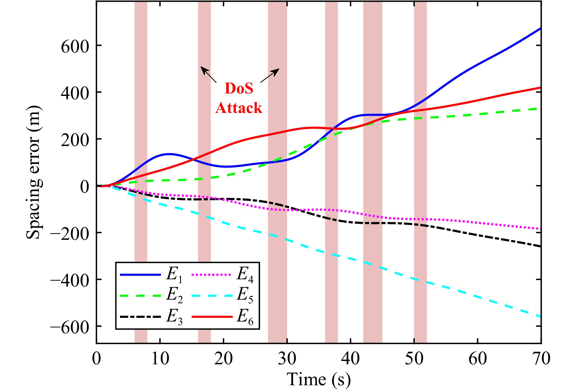
  • This paper presents a hierarchical secure control framework for resilient vehicular platooning under hybrid cyber-physical threats, including coupled false data injection (FDI) and denial-of-service (DoS) attacks, as well as actuator faults. A two-layer architecture is adopted to decouple cyber-layer disruptions from physical-layer execution, thereby enhancing system modularity and fault isolation. At the upper layer, a virtual platoon system is constructed, where a distributed resilient controller integrated with an event-triggered mechanism (ETM) is developed to ensure coordinated behavior while reducing communication overhead. At the lower layer, an adaptive fault-tolerant tracking controller is designed to compensate for actuator degradation and external disturbances, enabling each physical vehicle to follow its virtual reference independently. A layer-wise Lyapunov-based analysis is conducted to guarantee the practical exponential stability of the hierarchical control framework, where tractable LMI conditions are derived for both the cyber coordination and physical tracking components. Simulation results demonstrate that the proposed architecture effectively mitigates fault propagation, maintains robust performance under concurrent cyber and physical threats, and outperforms non-hierarchical benchmarks in terms of system stability.

     

  • loading
  • [1]
    X. Ge, Q.-L. Han, X.-M. Zhang, and D. Ding, “Communication resource-efficient vehicle platooning control with various spacing policies,” IEEE/CAA J. Autom. Sinica, vol. 11, no. 2, pp. 362–376, Feb. 2024. doi: 10.1109/jas.2023.123507
    [2]
    Y. Bian, C. Du, M. Hu, S. E. Li, H. Liu, and C. Li, “Fuel economy optimization for platooning vehicle swarms via distributed economic model predictive control,” IEEE Trans. Autom. Sci. Eng., vol. 19, no. 4, pp. 2711–2723, Oct. 2022. doi: 10.1109/TASE.2021.3128920
    [3]
    F. Tedesco and A. Casavola, “Distributed supervision strategies for cyber-physical systems with varying network topology,” IEEE Trans. Autom. Control, vol. 69, no. 8, pp. 5408–5423, Aug. 2024. doi: 10.1109/TAC.2024.3362884
    [4]
    Z. Lian, P. Shi, and M. Chen, “A survey on cyber-attacks for cyber-physical systems: Modeling, defense and design,” IEEE Internet Things J., vol. 12, no. 2, pp. 1471–1483, Jan. 2025. doi: 10.1109/JIOT.2024.3495046
    [5]
    R. A. Biroon, Z. A. Biron, and P. Pisu, “False data injection attack in a platoon of CACC: Real-time detection and isolation with a pde approach,” IEEE Trans. Intell. Transp. Syst., vol. 23, no. 7, pp. 8692–8703, Jul. 2022. doi: 10.1109/TITS.2021.3085196
    [6]
    N. Ahmed, A. Ameli, and H. Naser, “Detection, identification, and mitigation of false data injection attacks in vehicle platooning,” IEEE Trans. Veh. Technol., vol. 74, no. 1, pp. 1296–1309, Jan. 2025. doi: 10.1109/tvt.2024.3456080
    [7]
    H. Wei, Y. Zhang, B.-B. Hu, C. Lv, and Y. Shi, “Human-assisted resilient coordination for automated platoon with false data injection attack,” IEEE Trans. Veh. Technol., vol. 73, no. 12, pp. 19389–19399, Dec. 2024. doi: 10.1109/TVT.2024.3439569
    [8]
    P. Zhu, S. Jin, X. Bu, and Z. Hou, “Distributed data-driven control for a connected autonomous vehicle platoon subjected to false data injection attacks,” IEEE Trans. Autom. Sci. Eng., vol. 21, no. 4, pp. 7527–7538, Oct. 2024. doi: 10.1109/TASE.2023.3345369
    [9]
    C. Zhao, R. Ma, M. Wang, J. Xu, and L. Cai, “Safeguard vehicle platooning based on resilient control against false data injection attacks,” IEEE Trans. Intell. Transp. Syst., vol. 25, no. 11, pp. 17023–17037, Nov. 2024. doi: 10.1109/TITS.2024.3424687
    [10]
    J. An, L. Cao, Y. Wang, A. K. Jadoon, and S. Wang, “Adaptive fault-tolerant optimized platoon cloud tracking control for heterogeneous vehicles via dual learning mechanism,” IEEE Trans. Autom. Sci. Eng., vol. 22, pp. 4382–4393, 2025. doi: 10.1109/TASE.2024.3410642
    [11]
    J. Gong, C. Murguia, A. Bayuwindra, and J. Cao, “Resilient controller synthesis against dos attacks for vehicular platooning in spatial domain,” IEEE Trans. Veh. Technol., vol. 74, no. 5, pp. 8251–8266, May 2025. doi: 10.1109/TVT.2025.3530963
    [12]
    Z. A. Biron, S. Dey, and P. Pisu, “Real-time detection and estimation of denial of service attack in connected vehicle systems,” IEEE Trans. Intell. Transp. Syst., vol. 19, no. 12, pp. 3893–3902, 2018. doi: 10.1109/TITS.2018.2791484
    [13]
    N. Zhao, X. Zhao, M. Chen, G. Zong, and H. Zhang, “Resilient distributed event-triggered platooning control of connected vehicles under denial-of-service attacks,” IEEE Trans. Intell. Transp. Syst., vol. 24, no. 6, pp. 6191–6202, 2023. doi: 10.1109/TITS.2023.3250402
    [14]
    Z. Guo, S. Fan, Y. Fu, D. Zhang, L. Dong, and C. Deng, “Finite-time vehicle platoon control for cpvs under dos attacks,” IEEE Trans. Intell. Transp. Syst., vol. 26, no. 7, pp. 10736–10746, Jul. 2025. doi: 10.1109/TITS.2025.3548667
    [15]
    C. Liu, Z. Xia, and R. J. Patton, “Distributed fault-tolerant consensus control of vehicle platoon systems with dos attacks,” IEEE Trans. Veh. Technol., vol. 73, no. 10, pp. 14438–14449, 2024. doi: 10.1109/TVT.2024.3406608
    [16]
    M. Hussein, Y. Zhang, and Z. Liu, “Distributed fault-tolerant formation control design via high-order sliding mode for a team of car-like vehicles,” IEEE Trans. Intell. Veh., vol. 9, no. 2, pp. 4221–4231, Feb. 2024. doi: 10.1109/TIV.2023.3340549
    [17]
    X. Yang, V. Puig, X. Wang, S. Wang, C. Sun, and Y. Zhang, “Dynamic-high-gain-based decentralized optimal fault-tolerant control for a class of interconnected nonlinear systems,” IEEE Trans. Autom. Control, vol. 70, no. 9, pp. 5823-5835, Sep. 2025. doi: 10.1109/TAC.2025.3546545
    [18]
    J. Han, J. Zhang, C. He, C. Lv, C. Li, Y. Ji, and X. Hou, “Prescribed-time performance recovery fault tolerant control of platoon with nominal constraints guarantee,” IEEE Trans. Intell. Transp. Syst., vol. 24, no. 3, pp. 3501–3513, 2023. doi: 10.1109/TITS.2022.3232818
    [19]
    X.-G. Guo, W.-D. Xu, J.-L. Wang, J. H. Park, and H. Yan, “Blf-based neuroadaptive fault-tolerant control for nonlinear vehicular platoon with time-varying fault directions and distance restrictions,” IEEE Trans. Intell. Transp. Syst., vol. 23, no. 8, pp. 12388–12398, Aug. 2022. doi: 10.1109/tits.2021.3113928
    [20]
    P. Zhu, S. Jin, X. Bu, and Z. Hou, “Distributed data-driven event-triggered fault-tolerant control for a connected heterogeneous vehicle platoon with sensor faults,” IEEE Trans. Intell. Transp. Syst., vol. 25, no. 6, pp. 5498–5509, Jun. 2024. doi: 10.1109/TITS.2023.3335227
    [21]
    X. Wang, J. H. Park, H. Liu, and X. Zhang, “Adaptive fault-tolerant platooning control for nonlinear homogeneous multiple autonomous vehicles under unreliable communication networks,” Int. J. Robust Nonlinear Control, vol. 34, no. 8, pp. 5270–5288, 2024. doi: 10.1002/rnc.7262
    [22]
    K. Yang, D. Liu, S. Baldi, W. Yu, and C. Lv, “Decoupling-based resilient control of vehicular platoons under injection of false wireless data,” IEEE Trans. Intell. Transp. Syst., vol. 25, no. 12, pp. 21 500–21 514, 2024. doi: 10.1109/TITS.2024.3466232
    [23]
    C. Liu, J. Zhao, and R. J. Patton, “Distributed antittack fault-tolerant tracking control for vehicle platoon systems under cyber-physical threats,” IEEE Trans. Ind. Inform., vol. 19, no. 6, pp. 7825–7834, Jun. 2023. doi: 10.1109/TII.2022.3171343
    [24]
    Z. Gao, X. Li, Z. Wei, G. Guo, S. Wen, Y. Zhao, and S. Mumtaz, “Fixed-time secure control for vehicular platoons under deception attacks on both sensor and actuator via adaptive fixed-time disturbance observer,” IEEE Internet Things J., vol. 12, no. 11, pp. 15828–15839, 2025. doi: 10.1109/JIOT.2025.3529845
    [25]
    J. Gong, Y. Zhao, J. Cao, J. Guo, M. Abdel-Aty, and W. Huang, “A virtual spring strategy for cooperative control of connected and automated vehicles at signal-free intersections,” IEEE Trans. Intell. Transp. Syst., vol. 25, no. 2, pp. 1430–1444, 2024. doi: 10.1109/TITS.2023.3316273
    [26]
    J. Gong, Y. Zhao, J. Cao, W. Huang, W. Chen, and M. Abdel-Aty, “Resilient automated intersection control of connected vehicles under denial of service attacks,” Eng. Appl. Artif. Intell., vol. 136, p. 108950, 2024. doi: 10.1016/j.engappai.2024.108950
    [27]
    J. Cao, D. Ding, J. Liu, E. Tian, S. Hu, and X. Xie, “Hybrid-triggered-based security controller design for networked control system under multiple cyber attacks,” Inf. Sci., vol. 548, pp. 69–84, 2021. doi: 10.1016/j.ins.2020.09.046
    [28]
    J. Liu, Y. Gu, X. Xie, D. Yue, and J. H. Park, “Hybrid-driven-based $\cal{H}_\infty $ control for networked cascade control systems with actuator saturations and stochastic cyber attacks,” IEEE Trans. Syst., Man, Cybern.: Syst., vol. 49, no. 12, pp. 2452–2463, Dec. 2019. doi: 10.1109/tsmc.2018.2875484
    [29]
    H. Guo, J. Sun, and Z.-H. Pang, “Residual-based false data injection attacks against multi-sensor estimation systems,” IEEE/CAA J. Autom. Sin., vol. 10, no. 5, pp. 1181–1191, May 2023. doi: 10.1109/JAS.2023.123441
    [30]
    Y. Tang, D. Zhang, P. Shi, W. Zhang, and F. Qian, “Event-based formation control for nonlinear multiagent systems under dos attacks,” IEEE Trans. Autom. Control, vol. 66, no. 1, pp. 452–459, Jan. 2021. doi: 10.1109/TAC.2020.2979936
    [31]
    J. Liu and J. Dong, “Privacy-preserving cruise control for heterogeneous platoon vehicle system under actuator faults and uncertainties,” IEEE Trans. Intell. Transp. Syst., vol. 25, no. 10, pp. 15029–15039, Oct. 2024. doi: 10.1109/TITS.2024.3390779
    [32]
    J.-B. Pomet, L. Praly, et al, “Adaptive nonlinear regulation: Estimation from the Lyapunov equation,” IEEE Trans. Autom. Control, vol. 37, no. 6, pp. 729–740, Jun. 1992. doi: 10.1109/9.256328
    [33]
    S. Boyd, L. El Ghaoui, E. Feron, and V. Balakrishnan, Linear matrix inequalities in system and control theory. Philadelphia, PA: SIAM, 1994.
    [34]
    X.-J. Li and G.-H. Yang, “Robust adaptive fault-tolerant control for uncertain linear systems with actuator failures,” IET Control Theory Appl., vol. 6, no. 10, pp. 1544–1551, 2012. doi: 10.1049/iet-cta.2011.0599

Catalog

    通讯作者: 陈斌, bchen63@163.com
    • 1. 

      沈阳化工大学材料科学与工程学院 沈阳 110142

    1. 本站搜索
    2. 百度学术搜索
    3. 万方数据库搜索
    4. CNKI搜索

    Figures(13)  / Tables(1)

    Article Metrics

    Article views (93) PDF downloads(16) Cited by()

    /

    DownLoad:  Full-Size Img  PowerPoint
    Return
    Return