A journal of IEEE and CAA , publishes high-quality papers in English on original theoretical/experimental research and development in all areas of automation
Volume 13 Issue 2
Feb.  2026

IEEE/CAA Journal of Automatica Sinica

  • JCR Impact Factor: 19.2, Top 1 (SCI Q1)
    CiteScore: 28.2, Top 1% (Q1)
    Google Scholar h5-index: 95, TOP 5
Turn off MathJax
Article Contents
S. Xu, D. Pan, Z. Jiang, Z. Chen, H. Yu, and W. Gui, “KIG: A knowledge graph-guided iterative-updating graph neural network for multisensor time series time-delay estimation,” IEEE/CAA J. Autom. Sinica, vol. 13, no. 2, pp. 327–345, Feb. 2026. doi: 10.1109/JAS.2025.125897
Citation: S. Xu, D. Pan, Z. Jiang, Z. Chen, H. Yu, and W. Gui, “KIG: A knowledge graph-guided iterative-updating graph neural network for multisensor time series time-delay estimation,” IEEE/CAA J. Autom. Sinica, vol. 13, no. 2, pp. 327–345, Feb. 2026. doi: 10.1109/JAS.2025.125897

KIG: A Knowledge Graph-Guided Iterative-Updating Graph Neural Network for Multisensor Time Series Time-Delay Estimation

doi: 10.1109/JAS.2025.125897
Funds:  This work was supported by the Young Scientists Fund of the National Natural Science Foundation of China (62303491), the Major Program of Xiangjiang Laboratory (22XJ01005), the Science and Technology Innovation Program of Hunan Province (2024RC1007), and the Natural Science Foundation of Hunan Province (2025JJ10007)
More Information
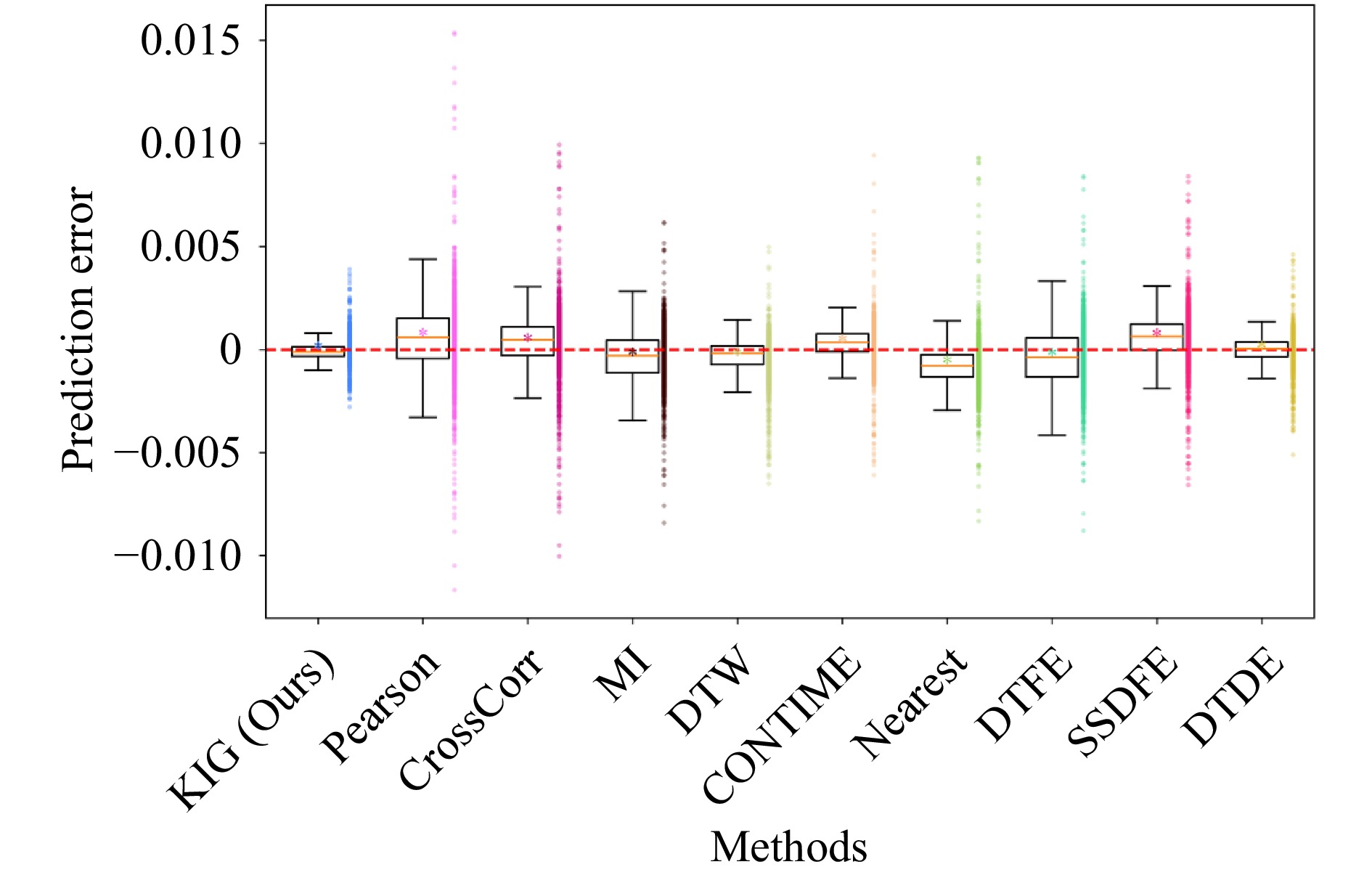
  • Temporal alignment of multisensor time series (MTS) is a critical prerequisite for accurate modeling and optimal control in subsequent data-driven applications. Nevertheless, many approaches frequently neglect to consider the complex interdependencies between different sensors in MTS, and temporal alignment in many methods is typically treated as an isolated task disconnected from the downstream objectives, leading to unsatisfactory performances in follow-up applications. To address these challenges, this paper proposes a novel knowledge graph (KG)-guided iterative-updating graph neural network (GNN) for time-delay estimation (TDE) in MTS. Initially, a domain-specific KG is constructed from domain mechanism knowledge, providing a foundation for GNN’s initialization. Next, capitalizing on the inherent structure of the graph topology, a GNN-based TDE method is developed. Then, a customized loss function is constructed, which synthesizes both the performances of downstream tasks and graph-based constraints. Moreover, an innovative algorithm for GNN structure learning and iterative-updating is proposed to renovate the graph structure further. Finally, experimental results across various regression and classification tasks on numerical simulation, public datasets, and the real blast furnace ironmaking dataset demonstrate that the proposed method can achieve accurate temporal alignment of MTS.

     

  • loading
  • [1]
    L. Chen, L. Wang, Z. Han, J. Zhao, and W. Wang, “Variational inference based kernel dynamic Bayesian networks for construction of prediction intervals for industrial time series with incomplete input,” IEEE/CAA J. Autom. Sinica, vol. 7, no. 5, pp. 1437–1445, Sep. 2020. doi: 10.1109/jas.2019.1911645
    [2]
    L. J. Li, T. T. Dong, S. Zhang, X. X. Zhang, and S. P. Yang, “Time-delay identification in dynamic processes with disturbance via correlation analysis,” Control Eng. Pract., vol. 62, pp. 92–101, May 2017. doi: 10.1016/j.conengprac.2017.03.007
    [3]
    E. Ghaderpour, P. Mazzanti, G. S. Mugnozza, and F. Bozzano, “Coherency and phase delay analyses between land cover and climate across Italy via the least-squares wavelet software,” Int. J. Appl. Earth Obs. Geoinf., vol. 118, p. 103241, Apr. 2023. doi: 10.1016/j.jag.2023.103241
    [4]
    L. Novelli and J. T. Lizier, “Inferring network properties from time series using transfer entropy and mutual information: Validation of multivariate versus bivariate approaches,” Netw. Neurosci., vol. 5, no. 2, pp. 373–404, May 2021. doi: 10.1162/netn_a_00178
    [5]
    H. Xu, F. Ding, and B. Champagne, “Joint parameter and time-delay estimation for a class of nonlinear time-series models,” IEEE Signal Process. Lett., vol. 29, pp. 947–951, 2022. doi: 10.1109/LSP.2022.3152108
    [6]
    M. E. C. Bagdatli and A. S. Dokuz, “Vehicle delay estimation at signalized intersections using machine learning algorithms,” Transp. Res. Rec.: J. Transp. Res. Board, vol. 2675, no. 9, pp. 110–126, Sep. 2021. doi: 10.1177/03611981211036874
    [7]
    F. Lin, M. Sun, S. Mao, and B. Wang, “Deep learning-based time delay estimation using ground penetrating radar,” Electronics, vol. 12, no. 9, p. 2141, May 2023. doi: 10.3390/electronics12092141
    [8]
    Z. Xiao and H. Tong, “Federated contrastive learning with feature-based distillation for human activity recognition,” IEEE Trans. Comput. Soc. Syst., vol. 12, no. 4, pp. 1759–1772, Aug. 2025. doi: 10.1109/TCSS.2024.3510428
    [9]
    R. Zhang, Y. Huang, Y. Lou, W. Ding, Y. Cao, and H. Wang, “Synergistic attention-guided cascaded graph diffusion model for complementarity determining region synthesis,” IEEE Trans. Neural Netw. Learn. Syst., vol. 36, no. 7, pp. 11875–11886, Jul. 2025. doi: 10.1109/TNNLS.2024.3477248
    [10]
    W. Guo, H. Che, M. F. Leung, L. Jin, and S. Wen, “Robust mixed-order graph learning for incomplete multi-view clustering,” Inf. Fusion, vol. 115, p. 102776, Mar. 2025. doi: 10.1016/j.inffus.2024.102776
    [11]
    W. Guo, H. Che, and M. F. Leung, “High-order consensus graph learning for incomplete multi-view clustering,” Appl. Intell., vol. 55, no. 7, p. 521, Mar. 2025. doi: 10.1007/s10489-025-06375-8
    [12]
    Y. Yuan, Y. Wang, and X. Luo, “A node-collaboration-informed graph convolutional network for highly accurate representation to undirected weighted graph,” IEEE Trans. Neural Netw. Learn. Syst., vol. 36, no. 6, pp. 11507–11519, Jun. 2025. doi: 10.1109/TNNLS.2024.3514652
    [13]
    J. Chen, Y. Yuan, and X. Luo, “SDGNN: Symmetry-preserving dual-stream graph neural networks,” IEEE/CAA J. Autom. Sinica, vol. 11, no. 7, pp. 1717–1719, Jul. 2024. doi: 10.1109/JAS.2024.124410
    [14]
    F. Bi, T. He, Y. S. Ong, and X. Luo, “Graph linear convolution pooling for learning in incomplete high-dimensional data,” IEEE Trans. Knowl. Data Eng., vol. 37, no. 4, pp. 1838–1852, Apr. 2025. doi: 10.1109/TKDE.2024.3524627
    [15]
    L. Wang, K. Liu, and Y. Yuan, “GT-A.2T: Graph tensor alliance attention network,” IEEE/CAA J. Autom. Sinica, vol. 12, no. 10, pp. 2165–2167, Oct. 2025. doi: 10.1109/JAS.2024.124863
    [16]
    Y. Yuan, X. Luo, M. Shang, and Z. Wang, “A Kalman-filter-incorporated latent factor analysis model for temporally dynamic sparse data,” IEEE Trans. Cybern., vol. 53, no. 9, pp. 5788–5801, Sep. 2023. doi: 10.1109/TCYB.2022.3185117
    [17]
    Y. Yuan, X. Luo, and M. Zhou, “Adaptive divergence-based non-negative latent factor analysis of high-dimensional and incomplete matrices from industrial applications,” IEEE Trans. Emerg. Top. Comput. Intell., vol. 8, no. 2, pp. 1209–1222, Apr. 2024. doi: 10.1109/TETCI.2023.3332550
    [18]
    Z. Chen, S. Mo, J. Xu, Z. Cheng, T. Peng, and W. Gui, “Remote fault diagnosis method for traction drive systems based on domain-adapted knowledge graphs,” IEEE Trans. Ind. Cyber-Phys. Syst., vol. 2, pp. 556–564, 2024. doi: 10.1109/TICPS.2024.3477433
    [19]
    L. Yang, C. Lv, X. Wang, J. Qiao, W. Ding, J. Zhang, and F. Y. Wang, “Collective entity alignment for knowledge fusion of power grid dispatching knowledge graphs,” IEEE/CAA J. Autom. Sinica, vol. 9, no. 11, pp. 1990–2004, Nov. 2022. doi: 10.1109/JAS.2022.105947
    [20]
    J. Zhu, Z. Jiang, D. Pan, H. Yu, C. Xu, K. Zhou, and W. Gui, “An intelligent optimization strategy for blast furnace charging operation considering three-dimensional burden surface shape,” IEEE/CAA J. Autom. Sinica, vol. 12, no. 7, pp. 1445–1463, Jul. 2025. doi: 10.1109/JAS.2025.125192
    [21]
    S. Lou, C. Yang, Z. Liu, S. Wang, H. Zhang, and P. Wu, “Release power of mechanism and data fusion: A hierarchical strategy for enhanced MIQ-related modeling and fault detection in BFIP,” IEEE/CAA J. Autom. Sinica, vol. 12, no. 5, pp. 894–912, May 2025. doi: 10.1109/JAS.2024.124821
    [22]
    C. Gao, J. Zhu, F. Zhang, Z. Wang, and X. Li, “A novel representation learning for dynamic graphs based on graph convolutional networks,” IEEE Trans. Cybern., vol. 53, no. 6, pp. 3599–3612, Jun. 2023. doi: 10.1109/TCYB.2022.3159661
    [23]
    A. G. Gad, “Particle swarm optimization algorithm and its applications: A systematic review,” Arch. Comput. Methods Eng., vol. 29, no. 5, pp. 2531–2561, Apr. 2022. doi: 10.1007/s11831-021-09694-4
    [24]
    S. A. Javed, A. Mahmoudi, A. M. Khan, S. Javed, and S. Liu, “A critical review: Shape optimization of welded plate heat exchangers based on grey correlation theory,” Appl. Therm. Eng., vol. 144, pp. 593–599, Nov. 2018. doi: 10.1016/j.applthermaleng.2018.08.086
    [25]
    H. Yang, K. Ma, and J. Cheng, “Rethinking graph regularization for graph neural networks,” in Proc. 35th AAAI Conf. Artificial Intelligence, 2021, vol. 35, no. 5, pp. 4573−4581.
    [26]
    L. Wu, H. Lin, B. Hu, C. Tan, Z. Gao, Z. Liu, and S. Z. Li, “Beyond homophily and homogeneity assumption: Relation-based frequency adaptive graph neural networks,” IEEE Trans. Neural Netw. Learn. Syst., vol. 35, no. 6, pp. 8497–8509, Jun. 2024. doi: 10.1109/TNNLS.2022.3230417
    [27]
    I. Jebli, F. Z. Belouadha, M. I. Kabbaj, and A. Tilioua, “Prediction of solar energy guided by Pearson correlation using machine learning,” Energy, vol. 224, p. 120109, Jun. 2021. doi: 10.1016/j.energy.2021.120109
    [28]
    W. Tang, F. He, and Y. Liu, “TCCFusion: An infrared and visible image fusion method based on transformer and cross correlation,” Pattern Recognit., vol. 137, p. 109295, May 2023. doi: 10.1016/j.patcog.2022.109295
    [29]
    C. Ji, F. Ma, X. Zhu, J. Wang, and W. Sun, “Fault propagation path inference in a complex chemical process based on time-delayed mutual information analysis,” Comput. Aided Chem. Eng., vol. 48, pp. 1165–1170, 2020. doi: 10.1016/b978-0-12-823377-1.50195-6
    [30]
    J. Stübinger and D. Walter, “Using multi-dimensional dynamic time warping to identify time-varying lead-lag relationships,” Sensors, vol. 22, no. 18, p. 6884, Sep. 2022. doi: 10.3390/s22186884
    [31]
    S. Y. Jhin, S. Kim, and N. Park, “Addressing prediction delays in time series forecasting: A continuous GRU approach with derivative regularization,” in Proc. 30th ACM SIGKDD Conf. Knowledge Discovery and Data Mining, Barcelona, Spain, 2024, pp. 1234−1245.
    [32]
    C. Schranz, S. Mayr, S. Bernhart, and C. Halmich, “Nearest advocate: A novel event-based time delay estimation algorithm for multi-sensor time-series data synchronization,” EURASIP J. Adv. Signal Process., vol. 2024, no. 1, p. 46, Apr. 2024. doi: 10.1186/s13634-024-01143-1
    [33]
    Y. Li, C. Yang, and Y. Sun, “Dynamic time features expanding and extracting method for prediction model of sintering process quality index,” IEEE Trans. Industr. Inform., vol. 18, no. 3, pp. 1737–1745, Mar. 2022. doi: 10.1109/TII.2021.3086763
    [34]
    L. Yao and Z. Ge, “Cooperative deep dynamic feature extraction and variable time-delay estimation for industrial quality prediction,” IEEE Trans. Industr. Inform., vol. 17, no. 6, pp. 3782–3792, Jun. 2021. doi: 10.1109/TII.2020.3021047
    [35]
    W. Wang, C. Yang, J. Han, W. Li, and Y. Li, “A soft sensor modeling method with dynamic time-delay estimation and its application in wastewater treatment plant,” Biochem. Eng. J., vol. 172, p. 108048, Aug. 2021. doi: 10.1016/j.bej.2021.108048
    [36]
    Z. Jiang, J. Zhu, D. Pan, W. Gui, and Z. Xu, “Soft sensors using heterogeneous image features for moisture detection of sintering mixture in the sintering process,” IEEE Trans. Instrum. Meas., vol. 72, p. 2517012, 2023. doi: 10.1109/tim.2023.3284017
    [37]
    X. Yuan, L. Li, Y. Wang, C. Yang, and W. Gui, “Deep learning for quality prediction of nonlinear dynamic processes with variable attention-based long short-term memory network,” Can. J. Chem. Eng., vol. 98, no. 6, pp. 1377–1389, Jun. 2020. doi: 10.1002/cjce.23665
    [38]
    A. Adhikari, S. Naetiladdanon, and A. Sangswang, “Real-time short-term voltage stability assessment using temporal convolutional neural network,” in Proc. IEEE PES Innovative Smart Grid Technologies-Asia, Brisbane, Australia, 2021, pp. 1−5.
    [39]
    X. Yuan, Y. Wang, C. Wang, L. Ye, K. Wang, Y. Wang, C. Yang, W. Gui, and F. Shen, “Variable correlation analysis-based convolutional neural network for far topological feature extraction and industrial predictive modeling,” IEEE Trans. Instrum. Meas., vol. 73, p. 3001110, 2024. doi: 10.1109/tim.2024.3373085
    [40]
    K. Jiang, Z. Jiang, Y. Xie, D. Pan, and W. Gui, “Prediction of multiple molten iron quality indices in the blast furnace ironmaking process based on attention-wise deep transfer network,” IEEE Trans. Instrum. Meas., vol. 71, p. 2512114, 2022. doi: 10.1109/tim.2022.3185325
    [41]
    A. Bagnall, H. A. Dau, J. Lines, M. Flynn, J. Large, A. Bostrom, P. Southam, and E. Keogh, “The UEA multivariate time series classification archive,” arXiv preprint arXiv: 1811.00075, 2018.
    [42]
    Z. Jiang, K. Jiang, Y. Xie, D. Pan, and W. Gui, “A cooperative silicon content dynamic prediction method with variable time delay estimation in the blast furnace ironmaking process,” IEEE Trans. Ind. Inform., vol. 20, no. 1, pp. 626–637, Jan. 2024. doi: 10.1109/TII.2023.3268740
    [43]
    Z. Jiang, J. Huang, W. Gui, Z. Yi, D. Pan, C. Xu, and K. Zhou, “A novel motion state recognition method for blast furnace burden surface in ironmaking process,” IEEE Trans. Instrum. Meas., vol. 72, p. 5023914, 2023.
    [44]
    A. Kumar, K. Kumar, B. Bharanidharan, N. Matial, E. Dey, M. Singh, V. Thakur, S. Sharma, and N. Malhotra, “Design of water distribution system using epanet,” Int. J. Adv. Res., vol. 3, no. 9, pp. 789–812, Sep. 2015. doi: 10.1515/9782553016905-009
    [45]
    S. Sumriddetchkajorn, K. Chaitavon, and Y. Intaravanne, “Mobile-platform based colorimeter for monitoring chlorine concentration in water,” Sens. Actuators B: Chem., vol. 191, pp. 561–566, Feb. 2014. doi: 10.1016/j.snb.2013.10.024

Catalog

    通讯作者: 陈斌, bchen63@163.com
    • 1. 

      沈阳化工大学材料科学与工程学院 沈阳 110142

    1. 本站搜索
    2. 百度学术搜索
    3. 万方数据库搜索
    4. CNKI搜索

    Figures(14)  / Tables(8)

    Article Metrics

    Article views (432) PDF downloads(29) Cited by()

    /

    DownLoad:  Full-Size Img  PowerPoint
    Return
    Return