A journal of IEEE and CAA , publishes high-quality papers in English on original theoretical/experimental research and development in all areas of automation
Volume 9 Issue 4
Apr.  2022

IEEE/CAA Journal of Automatica Sinica

  • JCR Impact Factor: 19.2, Top 1 (SCI Q1)
    CiteScore: 28.2, Top 1% (Q1)
    Google Scholar h5-index: 95, TOP 5
Turn off MathJax
Article Contents
Y. H. Lin, J. W. Sun, G. Q. Li, G. X. Xiao, C. Y. Wen, L. Deng, and H. E. Stanley, “Spatiotemporal input control: Leveraging temporal variation in network dynamics,” IEEE/CAA J. Autom. Sinica, vol. 9, no. 4, pp. 635–651, Apr. 2022. doi: 10.1109/JAS.2022.105455
Citation: Y. H. Lin, J. W. Sun, G. Q. Li, G. X. Xiao, C. Y. Wen, L. Deng, and H. E. Stanley, “Spatiotemporal input control: Leveraging temporal variation in network dynamics,” IEEE/CAA J. Autom. Sinica, vol. 9, no. 4, pp. 635–651, Apr. 2022. doi: 10.1109/JAS.2022.105455

Spatiotemporal Input Control: Leveraging Temporal Variation in Network Dynamics

doi: 10.1109/JAS.2022.105455
Funds:  This work was partially supported by the National Key RD Program of China (2020AAA0105200, 2018AAA01012600), National Natural Science Foundation of China (61876215), Beijing Academy of Artificial Intelligence (BAAI), in part by the Science and Technology Major Project of Guangzhou (202007030006), and Pengcheng laboratory. It is also partially funded by the Ministry of Education, Singapore, under contract RG19/20, and partly supported by the Future Resilient Systems Project (FRS-II) at the Singapore-ETH Centre (SEC), funded by the National Research Foundation of Singapore (NRF)
More Information
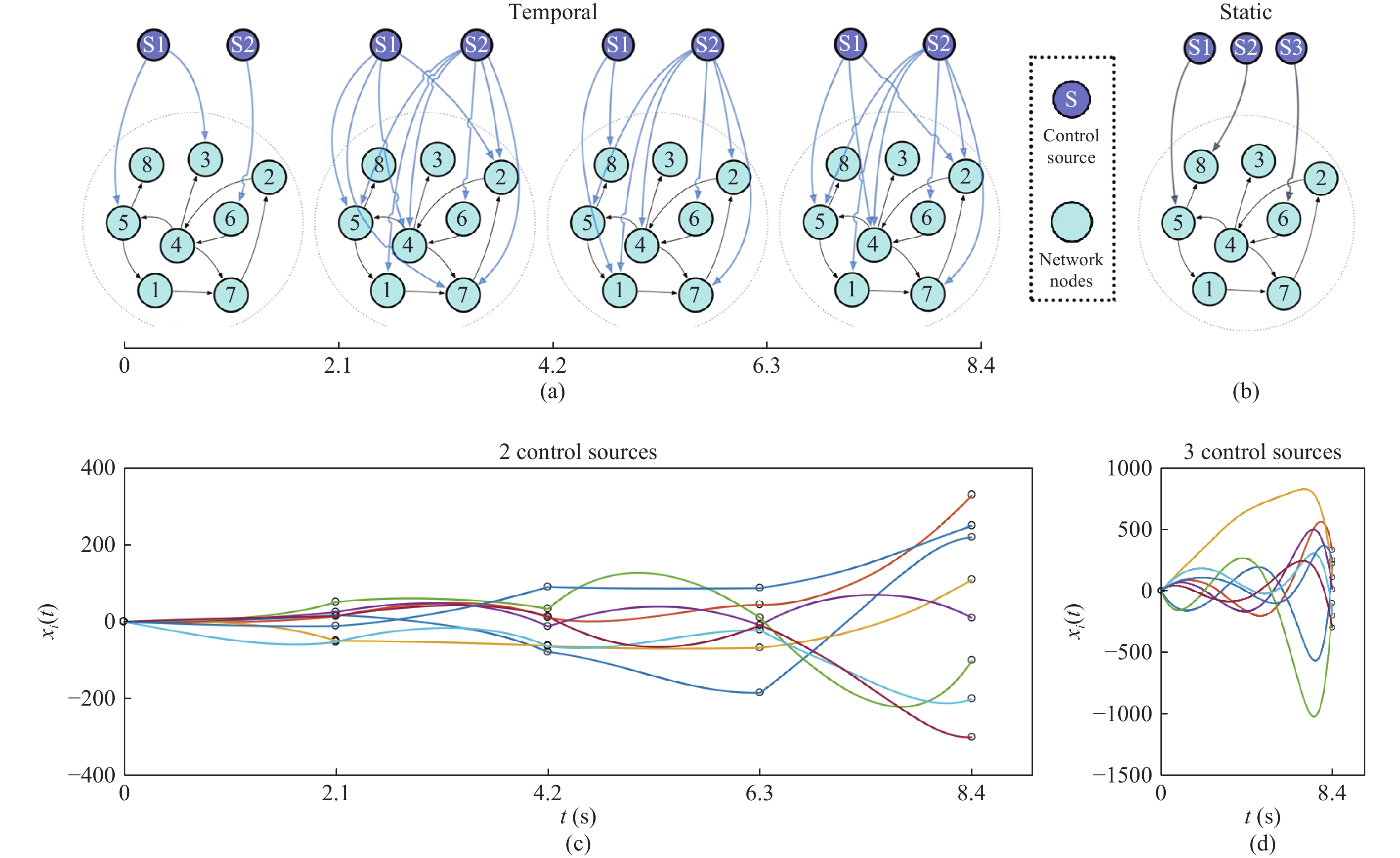
  • The number of available control sources is a limiting factor to many network control tasks. A lack of input sources can result in compromised controllability and/or sub-optimal network performance, as noted in engineering applications such as the smart grids. The mechanism can be explained by a linear time-invariant model, where structural controllability sets a lower bound on the number of required sources. Inspired by the ubiquity of time-varying topologies in the real world, we propose the strategy of spatiotemporal input control to overcome the source-related limit by exploiting temporal variation of the network topology. We theoretically prove that under this regime, the required number of sources can always be reduced to 2. It is further shown that the cost of control depends on two hyperparameters, the numbers of sources and intervals, in a trade-off fashion. As a demonstration, we achieve controllability over a complex network resembling the nervous system of Caenorhabditis elegans using as few as 6% of the sources predicted by a static control model. This example underlines the potential of utilizing topological variation in complex network control problems.

     

  • loading
  • Yihan Lin and Jiawei Sun contributed equally to this work.
  • [1]
    U. N. Raghavan, R. Albert, and S. Kumara, “Near linear time algorithm to detect community structures in large-scale networks, ” Phys. Rev. E, vol. 76, p. 036106, Sep. 2007.
    [2]
    D. Kempe, J. Kleinberg, and É. Tardos, “Maximizing the spread of influence through a social network,” in Proc. 10th ACM SIGKDD Int. Conf. Knowledge Discovery and Data Mining, New York, USA, 2003, pp. 137–146.
    [3]
    M. J. Keeling and P. Rohani, Modeling Infectious Diseases in Humans and Animals. Princeton, USA: Princeton University Press, 2008.
    [4]
    O. Diekmann, H. Heesterbeek, and T. Britton, Mathematical Tools for Understanding Infectious Disease Dynamics. Princeton, USA: Princeton University Press, 2012
    [5]
    H. W. Hethcote, “The mathematics of infectious diseases,” SIAM Rev., vol. 42, no. 4, pp. 599–653, Dec. 2000. doi: 10.1137/S0036144500371907
    [6]
    G. Adomavicius and A. Tuzhilin, “Toward the next generation of recommender systems: A survey of the state-of-the-art and possible extensions,” IEEE Trans. Knowl. Data Eng., vol. 17, no. 6, pp. 734–749, Jun. 2005. doi: 10.1109/TKDE.2005.99
    [7]
    M. Girvan and M. E. J. Newman, “Community structure in social and biological networks,” Proc. Natl. Acad. Sci. USA, vol. 99, no. 12, pp. 7821–7826, Jun. 2002. doi: 10.1073/pnas.122653799
    [8]
    G. Cimini, T. Squartini, F. Saracco, D. Garlaschelli, A. Gabrielli, and G. Caldarelli, “The statistical physics of real-world networks,” Nat. Rev. Phys., vol. 1, no. 1, pp. 58–71, Jan. 2019. doi: 10.1038/s42254-018-0002-6
    [9]
    J. P. Onnela, J. Saramäki, J. Hyvönen, G. Szabó, D. Lazer, K. Kaski, J. Kertész, and A. L. Barabási, “Structure and tie strengths in mobile communication networks,” Proc. Natl. Acad. Sci. USA, vol. 104, no. 18, pp. 7332–7336, May 2007. doi: 10.1073/pnas.0610245104
    [10]
    G. A. Pagani and M. Aiello, “The power grid as a complex network: A survey,” Phys. A:Stat. Mechan. its Appl., vol. 392, no. 11, pp. 2688–2700, Jun. 2013. doi: 10.1016/j.physa.2013.01.023
    [11]
    S. Bansal, B. T. Grenfell, and L. A. Meyers, “When individual behaviour matters: Homogeneous and network models in epidemiology,” J. Roy. Soc. Interface, vol. 4, no. 16, pp. 879–891, Oct. 2007. doi: 10.1098/rsif.2007.1100
    [12]
    G. Yan, J. Ren, Y. C. Lai, C. H. Lai, and B. W. Li, “Controlling complex networks: How much energy is needed?” Phys. Rev. Lett., vol. 108, no. 21, p. 218703, May 2012.
    [13]
    J. Ruths and D. Ruths, “Control profiles of complex networks,” Science, vol. 343, no. 6177, pp. 1373–1376, Mar. 2014. doi: 10.1126/science.1242063
    [14]
    Y. Y. Liu and A. L. Barabási, “Control principles of complex systems, ” Rev. Mod. Phys., vol. 88, no. 3, p. 035006, Sept. 2016.
    [15]
    R. Rajkumar, I. Lee, L. Sha, and J. Stankovic, “Cyber-physical systems: The next computing revolution, ” in Proc. Design Automation Conf., Anaheim, USA, 2010, pp. 731–736.
    [16]
    A. E. Motter, S. A. Myers, M. Anghel, and T. Nishikawa, “Spontaneous synchrony in power-grid networks,” Nat. Phys., vol. 9, no. 3, pp. 191–197, Feb. 2013. doi: 10.1038/nphys2535
    [17]
    D. Del Vecchio, A. J. Dy, and Y. L. Qian, “Control theory meets synthetic biology, ” J. Roy. Soc. Interface, vol. 13, no. 120, p. 20160380, Jul. 2016.
    [18]
    R. D$’$Andrea and G. E. Dullerud, “Distributed control design for spatially interconnected systems,” IEEE Trans. Automatic Control, vol. 48, no. 9, pp. 1478–1495, Sept. 2003. doi: 10.1109/TAC.2003.816954
    [19]
    G. Yan, G. Tsekenis, B. Barzel, J. J. Slotine, Y. Y. Liu, and A. L. Barabási, “Spectrum of controlling and observing complex networks,” Nat. Phys., vol. 11, no. 9, pp. 779–786, Aug. 2015. doi: 10.1038/nphys3422
    [20]
    J. Sun and A. E. Motter, “Controllability transition and nonlocality in network control, ” Phys. Rev. Lett., vol. 110, no. 20, p. 208701, May 2013.
    [21]
    P. Holme and J. Saramaki, “Temporal networks,” Phys. Rep., vol. 519, no. 3, pp. 97–125, Oct. 2012. doi: 10.1016/j.physrep.2012.03.001
    [22]
    P. Holme, “Modern temporal network theory: A colloquium,” Eur. Phys. J. B, vol. 88, no. 9, Article No. 234, Sept. 2015. doi: 10.1140/epjb/e2015-60657-4
    [23]
    R. K. Pan and J. Saramäki, “Path lengths, correlations, and centrality in temporal networks, ” Phys. Rev. E, vol. 84, no. 1, p. 016105, Jun. 2011.
    [24]
    B. Y. Hou, X. Li, and G. R. Chen, “Structural controllability of temporally switching networks,” IEEE Trans. Circuits Sys. I:Regul. Pap., vol. 63, no. 10, pp. 1771–1781, Oct. 2016. doi: 10.1109/TCSI.2016.2583500
    [25]
    A. Li, S. P. Cornelius, Y. Y. Liu, L. Wang, and A. L. Barabási, “The fundamental advantages of temporal networks,” Science, vol. 358, no. 6366, pp. 1042–1046, Nov. 2017. doi: 10.1126/science.aai7488
    [26]
    C. T. Chen, Linear System Theory and Design. Oxford, UK: Oxford University Press, 1998.
    [27]
    B. D. O. Anderson and J. B. Moore, Optimal Control: Linear Quadratic Methods. Mineola, New York: Courier Corporation, 2007.
    [28]
    M. Starnini, A. Machens, C. Cattuto, A. Barrat, and R. Pastor-Satorras, “Immunization strategies for epidemic processes in time-varying contact networks,” J. Theor. Biol., vol. 337, pp. 89–100, Nov. 2013. doi: 10.1016/j.jtbi.2013.07.004
    [29]
    Z. Liu, D. S. Yang, D. Wen, W. M. Zhang, and W. J. Mao, “Cyber-physical-social systems for command and control,” IEEE Intell. Syst., vol. 26, no. 4, pp. 92–96, Jul.–Aug. 2011. doi: 10.1109/MIS.2011.69
    [30]
    E. Bompard, D. Wu, and F. Xue, “Structural vulnerability of power systems: A topological approach,” Elect. Power Syst. Res., vol. 81, no. 7, pp. 1334–1340, Jul. 2011. doi: 10.1016/j.jpgr.2011.01.021
    [31]
    D. D. Siljak, Decentralized Control of Complex Systems. Mineola, New York: Courier Corporation, 2012.
    [32]
    Y. Y. Liu, J. J. Slotine, and A. L. Barabási, “Controllability of complex networks,” Nature, vol. 473, no. 7346, pp. 167–173, May 2011. doi: 10.1038/nature10011
    [33]
    F. L. Iudice, F. Garofalo, and F. Sorrentino, “Structural permeability of complex networks to control signals, ” Nat. Commun., vol. 6, no. 1, p. 8349, Sept. 2015.
    [34]
    T. A. Jarrell, Y. Wang, A. E. Bloniarz, C. A. Brittin, M. Xu, J. N. Thomson, D. G. Albertson, D. H. Hall, and S. W. Emmons, “The connectome of a decision-making neural network,” Science, vol. 337, no. 6093, pp. 437–444, Jul. 2012. doi: 10.1126/science.1221762
    [35]
    M. Xu, T. A. Jarrell, Y. Wang, S. J. Cook, D. H. Hall, and S. W. Emmons, “Computer assisted assembly of connectomes from electron micrographs: Application to Caenorhabditis elegans, ” PLoS One, vol. 8, no. 1, p. e54050, Jan. 2013.
    [36]
    M. Sammut, M. Sammut, S. J. Cook, K. C. Q. Nguyen, T. Felton, D. H. Hall, S. W. Emmons, R. J. Poole, and A. Barrios, “Glia-derived neurons are required for sex-specific learning in C. elegans,” Nature, vol. 526, no. 7573, pp. 385–390, Oct. 2015. doi: 10.1038/nature15700
    [37]
    R. E. Kalman, “Mathematical description of linear dynamical systems,” J. Soc. Ind. Appl. Math. Ser. A Control, vol. 1, no. 2, pp. 152–192, 1963.
    [38]
    J. X. Gao, Y. Y. Liu, R. M. D’souza, and A. L. Barabási, “Target control of complex networks, ” Nat. Commun., vol. 5, no. 1, p. 5415, Nov. 2014.
    [39]
    R. A. Beauregard, A First Course in Linear Algebra: With Optional Introduction to Groups, Rings, and Fields. Boston, USA: Houghton Mifflin Co, 1973.
    [40]
    R. A. Horn and C. R. Johnson, Matrix Analysis. Cambridge, UK: Cambridge University Press, 1985.
    [41]
    R. M. Wilcox, “Exponential operators and parameter differentiation in quantum physics,” J. Math. Phys., vol. 8, no. 4, pp. 962–982, Apr. 1967. doi: 10.1063/1.1705306
    [42]
    D. P. Kingma, J. Ba, “Adam: A method for stochastic optimization,” arXiv preprint arXiv: 1412.6980, 2014.
    [43]
    B. Parisse and M. Vaughan, “Jordan normal and rational normal form algorithms,” 2004. arXiv priprint cs/0412005.
    [44]
    B. S. Mityagin, “The zero set of a real analytic function,” Math. Notes, vol. 107, no. 3, pp. 529–530, Apr. 2020.
    [45]
    C. T. Lin, “Structural controllability,” IEEE Trans. Automatic Control, vol. 19, no. 3, pp. 201–208, Jun. 1974. doi: 10.1109/TAC.1974.1100557
    [46]
    X. C. Wang, Y. G. Xi, W. Z. Huang, and S. Jia, “Deducing complete selection rule set for driver nodes to guarantee network’s structural controllability,” IEEE/CAA J. Autom. Sinica, vol. 6, no. 5, pp. 1152–1165, Sept. 2019. doi: 10.1109/JAS.2017.7510724
    [47]
    S. Emmons, R. Lee, M. Volaski, P. Sun, Worm Wiring, Emmons Lab, January, 2022. Accessed on: July, 2019. [Online]. Available: https://wormwiring.org/index.html.
    [48]
    D. J. Bakkum, Z. C. Chao, and S. M. Potter, “Spatio-temporal electrical stimuli shape behavior of an embodied cortical network in a goal-directed learning task,” J. Neural Eng., vol. 5, no. 3, pp. 310–323, Aug. 2008. doi: 10.1088/1741-2560/5/3/004
    [49]
    S. P. Jadhav, J. Wolfe, and D. E. Feldman, “Sparse temporal coding of elementary tactile features during active whisker sensation,” Nat. Neurosci., vol. 12, no. 6, pp. 792–800, Jun. 2009. doi: 10.1038/nn.2328
    [50]
    D. R. Chialvo, “Emergent complex neural dynamics,” Nat. Phys., vol. 6, no. 10, pp. 744–750, Oct. 2010. doi: 10.1038/nphys1803
    [51]
    A. L. Barth and J. F. A. Poulet, “Experimental evidence for sparse firing in the neocortex,” Trends Neurosci., vol. 35, no. 6, pp. 345–355, Jun. 2012. doi: 10.1016/j.tins.2012.03.008
  • ._connection.mov
    demo1.mp4

Catalog

    通讯作者: 陈斌, bchen63@163.com
    • 1. 

      沈阳化工大学材料科学与工程学院 沈阳 110142

    1. 本站搜索
    2. 百度学术搜索
    3. 万方数据库搜索
    4. CNKI搜索

    Figures(7)

    Article Metrics

    Article views (1251) PDF downloads(114) Cited by()

    Highlights

    • We show that through designing the spatiotemporal inputs, the lower bound of required sources in Controllability of complex networks [1] can be reduced. In this work, we subvert the idea by proving that via temporally switching the node-source connections, the required number of sources can be reduced to a minimum of 2, or even 1 in some special cases, and the control energy can be significantly lowered as well. At the same time, we put forward the corresponding control method.
    • We uncover that the trade-off between the minimized energy for controlling networks with spatiotemporal inputs and the two important hyper-parameters: the number of sources and the number of intervals, which is a significant and important finding regarding the previous work [2](Li et al, Science, 2017).
    • The presented methods for constructing and optimizing the input given a temporal control structure can serve as a pioneering method for designing spatiotemporal inputs and a basis for further improvement.

    /

    DownLoad:  Full-Size Img  PowerPoint
    Return
    Return