A journal of IEEE and CAA , publishes high-quality papers in English on original theoretical/experimental research and development in all areas of automation
Volume 8 Issue 8
Aug.  2021

IEEE/CAA Journal of Automatica Sinica

  • JCR Impact Factor: 19.2, Top 1 (SCI Q1)
    CiteScore: 28.2, Top 1% (Q1)
    Google Scholar h5-index: 95, TOP 5
Turn off MathJax
Article Contents
Y. Zhao, Z. Chen, C. J. Zhou, Y.-C. Tian, and Y. Q. Qin, "Passivity-Based Robust Control Against Quantified False Data Injection Attacks in Cyber-Physical Systems," IEEE/CAA J. Autom. Sinica, vol. 8, no. 8, pp. 1440-1450, Aug. 2021. doi: 10.1109/JAS.2021.1004012
Citation: Y. Zhao, Z. Chen, C. J. Zhou, Y.-C. Tian, and Y. Q. Qin, "Passivity-Based Robust Control Against Quantified False Data Injection Attacks in Cyber-Physical Systems," IEEE/CAA J. Autom. Sinica, vol. 8, no. 8, pp. 1440-1450, Aug. 2021. doi: 10.1109/JAS.2021.1004012

Passivity-Based Robust Control Against Quantified False Data Injection Attacks in Cyber-Physical Systems

doi: 10.1109/JAS.2021.1004012
Funds:  This work was supported in part by the National Science Foundation of China (61873103, 61433006) to author Chunjie Zhou
More Information
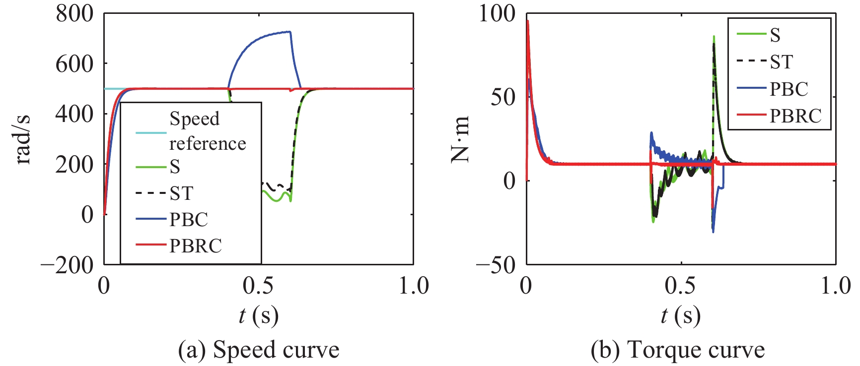
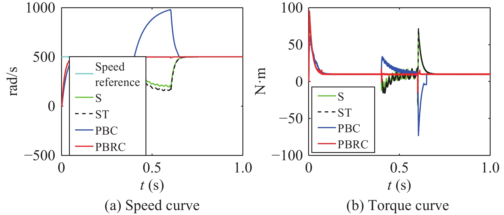
  • Secure control against cyber attacks becomes increasingly significant in cyber-physical systems (CPSs). False data injection attacks are a class of cyber attacks that aim to compromise CPS functions by injecting false data such as sensor measurements and control signals. For quantified false data injection attacks, this paper establishes an effective defense framework from the energy conversion perspective. Then, we design an energy controller to dynamically adjust the system energy changes caused by unknown attacks. The designed energy controller stabilizes the attacked CPSs and ensures the dynamic performance of the system by adjusting the amount of damping injection. Moreover, with the $ L_2 $ disturbance attenuation technique, the burden of control system design is simplified because there is no need to design an attack observer. In addition, this secure control method is simple to implement because it avoids complicated mathematical operations. The effectiveness of our control method is demonstrated through an industrial CPS that controls a permanent magnet synchronous motor.

     

  • loading
  • [1]
    L. An and G. Yang, “Decentralized adaptive fuzzy secure control for nonlinear uncertain interconnected systems against intermittent DoS attacks,” IEEE Trans. Cybernetics, vol. 49, no. 3, pp. 827–838, Mar. 2019. doi: 10.1109/TCYB.2017.2787740
    [2]
    X. Huang and J. Dong, “Reliable control policy of cyber-physical systems against a class of frequency-constrained sensor and actuator attacks,” IEEE Trans. Cybernetics, vol. 48, no. 12, pp. 3432–3439, 2018. doi: 10.1109/TCYB.2018.2815758
    [3]
    X. Huang, D. Zhai, and J. Dong, “Adaptive integral sliding-mode control strategy of data-driven cyber-physical systems against a class of actuator attacks,” IET Control Theory Applications, vol. 12, no. 10, pp. 1440–1447, 2018. doi: 10.1049/iet-cta.2017.1278
    [4]
    M. Zhu and S. Martínez, “On the performance analysis of resilient networked control systems under replay attacks,” IEEE Trans. Automatic Control, vol. 59, no. 3, pp. 804–808, Mar. 2014. doi: 10.1109/TAC.2013.2279896
    [5]
    A. Liu and L. Bai, “Distributed model predictive control for wide area measurement power systems under malicious attacks,” IET Cyber Physical Systems:Theory Applications, vol. 3, no. 3, pp. 111–118, 2018. doi: 10.1049/iet-cps.2017.0056
    [6]
    Z. Pang and G. Liu, “Design and implementation of secure networked predictive control systems under deception attacks,” IEEE Trans. Control Systems Technology, vol. 20, no. 5, pp. 1334–1342, Sep. 2012. doi: 10.1109/TCST.2011.2160543
    [7]
    L. Zhao and G.-H. Yang, “Adaptive sliding mode fault tolerant control for nonlinearly chaotic systems against dos attack and network faults,” Journal of the Franklin Institute, vol. 354, no. 6, pp. 114–126, Aug. 2017.
    [8]
    L. An and G.-H. Yang, “Improved adaptive resilient control against sensor and actuator attacks,” Information Sciences, vol. 423, no. 8, pp. 145–156, Sep. 2017.
    [9]
    A.-Y. Lu and G.-H. Yang, “Event-triggered secure observer-based control for cyber-physical systems under adversarial attacks,” Information Sciences, vol. 420, no. 19, pp. 96–109, Dec. 2017.
    [10]
    S. Liu, Y. Song, G. Wei, and X. Huang, “Rmpc-based security problem for polytopic uncertain system subject to deception attacks and persistent disturbances,” IET Control Theory Applications, vol. 11, no. 10, pp. 1611–1618, 2017. doi: 10.1049/iet-cta.2017.0153
    [11]
    A. Rosich, H. Voos, Y. Li, and M. Darouach, “A model predictive approach for cyber-attack detection and mitigation in control systems,” in Proc. 52nd IEEE Conf. Decision and Control, Dec. 2013, pp. 6621–6626.
    [12]
    S. Liu, Y. Song, G. Wei, D. Ding, and Y. Liu, “Event-triggered dynamic output feedback rmpc for polytopic systems with redundant channels: Input-to-state stability,” Journal of the Franklin Institute, vol. 354, no. 7, pp. 2871–2892, 2017. doi: 10.1016/j.jfranklin.2017.02.008
    [13]
    J. Wang, Y. Song, S. Liu, and S. Zhang, “Security in H2-sense for polytopic uncertain systems with attacks based on model predictive control,” Journal of the Franklin Institute, vol. 353, no. 15, pp. 3769–3785, 2016. doi: 10.1016/j.jfranklin.2016.07.002
    [14]
    M. Hosseinzadeh and M. J. Yazdanpanah, “Robust adaptive passivitybased control of open-loop unstable affine non-linear systems subject to actuator saturation,” IET Control Theory Applications, vol. 11, no. 16, pp. 2731–2742, 2017. doi: 10.1049/iet-cta.2017.0459
    [15]
    W. J. Gil-Gonzlez, A. Garces, O. B. Fosso, and A. Escobar-Mejła, “Passivity-based control of power systems considering hydro-turbine with surge tank,” IEEE Trans. Power Systems, vol. 35, no. 3, pp. 2002–2011, 2020. doi: 10.1109/TPWRS.2019.2948360
    [16]
    N. Chopra and M. Spong, “Passivity-based control of multi-agent systems,” Passivity-Based Control of Multi-Agent Systems, vol. 34, no. 1, pp. 107–134, 2006.
    [17]
    T. Wimboeck, C. Ott, and G. Hirzinger, “Passivity-based object-level impedance control for a multifingered hand,” in Proc. IEEE Int. Conf. Intelligent Robots and Systems, 2006, pp. 4621–4627.
    [18]
    A. Macchelli and C. Melchiorri, “Control by interconnection and energy shaping of the timoshenko beam,” Mathematical and Computer Modelling of Dynamical Systems, vol. 10, pp. 231–251, Sep. 2004. doi: 10.1080/13873950412331335243
    [19]
    G. Espinosa-Prez, H. Siguerdidjane, and A. Dria-Cerezo, “On the passivity-based power control of a doubly-fed induction machine,” Int. Journal of Electrical Power &Energy Systems, vol. 45, no. 1, pp. 303–312, Feb. 2013.
    [20]
    E. Lei, X. Yin, J. Lai, Y. Chen, and M. Wen, “Compensation mechanism and passivity-based control technology for distribution transformerstatic synchronous compensator,” Transactions of China Electrotechnical Society, vol. 32, no. 16, pp. 284–293, Aug. 2017.
    [21]
    J. Hu, J. Wang, and Q. Tang, “A new cuk converter with high step-down ratio and its control,” Applied Mechanics and Materials, vol. 571–572, no. 12, pp. 1053–1058, Jun. 2014. doi: 10.4028/www.scientific.net/AMM.571-572.1053
    [22]
    T.-Y. Zhang and D. Ye, “False data injection attacks with complete stealthiness in cyber-hysical systems: A self-generated approach,” Automatica, vol. 120, no. 1, pp. 109–117, 2020.
    [23]
    X.-M. Li, Q. Zhou, P. Li, H. Li, and R. Lu, “Event-triggered consensus control for multi-agent systems against false data-injection attacks,” IEEE Trans. Cybernetics, vol. 12, no. 5, pp. 1–11, Sep. 2019.
    [24]
    E. Kim, “A fuzzy disturbance observer and its application to control,” IEEE Trans. Fuzzy Systems, vol. 10, no. 1, pp. 77–84, Mar. 2002. doi: 10.1109/91.983280
    [25]
    C. Hall and Y. Shtessel, “Sliding mode disturbance observer-based control for a reusable launch vehicle,” Journal of Guidance Control and Dynamics, vol. 29, no. 4, pp. 1315–1328, Nov. 2006. doi: 10.2514/1.20151
    [26]
    B. Meng, Y. Jing, and X. Liu, “Interference suppression for L2 gain in nonlinear singularly perturbed systems,” Journal of Northeastern University, vol. 29, no. 18, pp. 126–139, May 2017.
    [27]
    C. Ishii, T. Shen, and R. Gavino, “Design method for an adaptive robust controller with L2-gain disturbance attenuation for nonlinear systems with uncertainty,” IEE Proceedings-Control Theory and Applications, vol. 151, pp. 152–157, Apr. 2004. doi: 10.1049/ip-cta:20040401
    [28]
    J. Qin, M. Li, L. Shi, and X. Yu, “Optimal denial-of-service attack scheduling with energy constraint over packet-dropping networks,” IEEE Trans. Automatic Control, vol. 63, no. 6, pp. 1648–1663, Jun. 2018. doi: 10.1109/TAC.2017.2756259
    [29]
    A.-Y. Lu and G.-H. Yang, “Stability analysis for cyber-physical systems under denial-of-service attacks,” IEEE Trans. Cybernetics, vol. 18, no. 3, pp. 1–10, 05, 2020.
    [30]
    L. Hu, Z. Wang, Q.-L. Han, and X. Liu, “State estimation under false data injection attacks: Security analysis and system protection,” Automatica, vol. 87, no. 7, pp. 176–183, 2018. doi: 10.1016/j.automatica.2017.09.028
    [31]
    Z. Kazemi, A. Safavi, F. Naseri, L. Urbas, and P. Setoodeh, “A secure hybrid dynamic state estimation approach for power systems under false data injection attacks,” IEEE Trans. Industrial Informatics, vol. 16, no. 12, pp. 7275–7286, Feb. 2020. doi: 10.1109/TII.2020.2972809
    [32]
    Y. Mo and B. Sinopoli, “Secure control against replay attacks,” in Proc. 47th Annual Allerton Conf. Communication, Control, and Computing (Allerton), Sep. 2009, pp. 911–918.
    [33]
    M. Hosseinzadeh, B. Sinopoli, and E. Garone, “Feasibility and detection of replay attack in networked constrained cyber-physical systems,” in Proc. Allerton Conf., Sep. 2019, pp. 712–717.
    [34]
    G. Park, H. Shim, C. Lee, Y. Eun, and K. H. Johansson, “When adversary encounters uncertain cyber-physical systems: Robust zero-dynamics attack with disclosure resources,” in Proc. 55th IEEE Conf. Decision and Control, Dec. 2016, pp. 5085–5090.
    [35]
    F. Hou and J. Sun, “Covert attacks against output tracking control of cyber-physical systems,” in Proc. 43rd Annual Conf. IEEE Industrial Electronics Society, Oct. 2017, pp. 5743–5748.
    [36]
    A. Barboni, H. Rezaee, F. Boem, and T. Parisini, “Detection of covert cyber-attacks in interconnected systems: A distributed model-based approach,” IEEE Trans. Automatic Control, vol. 65, no. 9, pp. 3728–3741, May 2020. doi: 10.1109/TAC.2020.2998765
    [37]
    F. Hou, Z. Pang, Y. Zhou, and D. Sun, “False data injection attacks for a class of output tracking control systems,” in Proc. 27th Chinese Control and Decision Conf., 2015, pp. 3319–3323.
    [38]
    Z. Zuo, X. Cao, and Y. Wang, “Security control of multi-agent systems under false data injection attacks,” Neurocomputing, vol. 404, no. 12, pp. 240–246, 2020. doi: 10.1016/j.neucom.2020.04.109
    [39]
    A. Abbaspour, A. Sargolzaei, P. Forouzannezhad, K. K. Yen, and A. I. Sarwat, “Resilient control design for load frequency control system under false data injection attacks,” IEEE Trans. Industrial Electronics, vol. 67, no. 9, pp. 7951–7962, 2020. doi: 10.1109/TIE.2019.2944091
    [40]
    M. Yue, L. Liu, Z. Wu, and M. Wang, “Identifying LDoS attack traffic based on wavelet energy spectrum and combined neural network,” Int. Journal of Communication Systems, vol. 31, no. 02, pp. 1–16, 2018.
    [41]
    S. Potluri, C. Diedrich, and G. K. R. Sangala, “Identifying false data injection attacks in industrial control systems using artificial neural networks,” in Proc. 22nd IEEE Int. Conf. Emerging Technologies and Factory Automation, 2017, pp. 1–8.
    [42]
    Z. Pang, R. Yang, G. Liu, and J. Zhang, “Design and detection of false data injection attacks against output tracking control systems,” in Proc. 36th Chinese Control Conf., 2017, pp. 7996–8001.
    [43]
    A. Rapaport and A. Astolfi, “Practical L2 disturbance attenuation for nonlinear systems,” IFAC Proceedings Volumes, vol. 31, no. 6, pp. 155–160, Jul. 1998.
    [44]
    M. Granieri and A. Estrada, “Down converter characterization in a synthetic instrument context,” in Proc. IEEE Autotestcon, 2006, pp. 20–25.
    [45]
    Y. Liu, T. Chen, C. Li, Y. Wang, and B. Chu, “Energy-based L2 disturbance attenuation excitation control of differential algebraic power systems,” IEEE Trans. Circuits and Systems II:Express Briefs, vol. 55, no. 10, pp. 1081–1085, 2008. doi: 10.1109/TCSII.2008.2001966
    [46]
    Yuzhen Wang, Daizhan Cheng, Chunwen Li, and You Ge, “Dissipative Hamiltonian realization and energy-based L2-disturbance attenuation control of multimachine power systems,” IEEE Trans. Automatic Control, vol. 48, no. 8, pp. 1428–1433, Aug. 2003. doi: 10.1109/TAC.2003.815037
    [47]
    T. Sun, J. Wang, and X. Chen, “Maximum torque per ampere (mtpa) control for interior permanent magnet synchronous machine drives based on virtual signal injection,” IEEE Trans. Power Electronics, vol. 30, no. 9, pp. 5036–5045, 2015. doi: 10.1109/TPEL.2014.2365814
    [48]
    C. Lai, G. Feng, J. Tjong, and N. C. Kar, “Direct calculation of maximum-torque-per-ampere angle for interior pmsm control using measured speed harmonic,” IEEE Trans. Power Electronics, vol. 33, no. 11, pp. 9744–9752, 2018. doi: 10.1109/TPEL.2017.2789245
    [49]
    B. Cui, Z. Han, J. Li, and J. Mu, “Research on pmsm speed control system based on improved reaching law,” in Proc. 3rd Int. Conf. Circuits, System and Simulation, 2019, pp. 19–24.
    [50]
    A. Levant, “Sliding order and sliding accuracy in sliding mode control,” Int. Journal of Control, vol. 58, no. 6, pp. 1247–1263, 1993. doi: 10.1080/00207179308923053
    [51]
    M. Khanchoul, M. Hilairet, and D. Normand-Cyrot, “A passivity-based controller under low sampling for speed control of pmsm,” Control Engineering Practice, vol. 26, no. 9, pp. 20–27, 2014. doi: 10.1016/j.conengprac.2013.12.013

Catalog

    通讯作者: 陈斌, bchen63@163.com
    • 1. 

      沈阳化工大学材料科学与工程学院 沈阳 110142

    1. 本站搜索
    2. 百度学术搜索
    3. 万方数据库搜索
    4. CNKI搜索

    Figures(18)  / Tables(3)

    Article Metrics

    Article views (1378) PDF downloads(171) Cited by()

    Highlights

    • Passive-based control
    • It is a kind of robust control method, and its design core is to make the closed-loop system passive. Its core is to start from the perspective of energy. Its physical concept is very intuitive and easy to be accepted by engineers. It has a wide range of applications in many actual physical systems.
    • Cyber-physical systems
    • Cyber-physical systems are multi-dimensional and complex systems that integrates computing, network and physical environment. Through the organic integration of technology and in-depth collaboration, it can realize real-time perception, dynamic control and information services of large-scale engineering systems. It has important and broad application prospects.
    • False Data Injection Attacks
    • By adding false attack signals to the control input and sensor output, the purpose of destroying the control command and sensor output command is achieved. Its implementation is simple and can destroy system performance arbitrarily.

    /

    DownLoad:  Full-Size Img  PowerPoint
    Return
    Return