A journal of IEEE and CAA , publishes high-quality papers in English on original theoretical/experimental research and development in all areas of automation
Volume 7 Issue 6
Oct.  2020

IEEE/CAA Journal of Automatica Sinica

  • JCR Impact Factor: 19.2, Top 1 (SCI Q1)
    CiteScore: 28.2, Top 1% (Q1)
    Google Scholar h5-index: 95, TOP 5
Turn off MathJax
Article Contents
Tinghua Li, Qinghua Yang, Xiaowei Tu and Bin Ren, "An Improved Torque Sensorless Speed Control Method for Electric Assisted Bicycle With Consideration of Coordinate Conversion," IEEE/CAA J. Autom. Sinica, vol. 7, no. 6, pp. 1575-1584, Nov. 2020. doi: 10.1109/JAS.2020.1003360
Citation: Tinghua Li, Qinghua Yang, Xiaowei Tu and Bin Ren, "An Improved Torque Sensorless Speed Control Method for Electric Assisted Bicycle With Consideration of Coordinate Conversion," IEEE/CAA J. Autom. Sinica, vol. 7, no. 6, pp. 1575-1584, Nov. 2020. doi: 10.1109/JAS.2020.1003360

An Improved Torque Sensorless Speed Control Method for Electric Assisted Bicycle With Consideration of Coordinate Conversion

doi: 10.1109/JAS.2020.1003360
Funds:  This work was supported by the National Natural Science Foundation of China (51775325) and Hong Kong Scholars Program of China (XJ2013015)
More Information
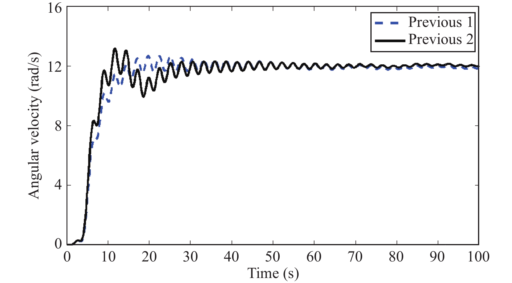
  • In this paper, we propose an improved torque sensorless speed control method for electric assisted bicycle, this method considers the coordinate conversion. A low-pass filter is designed in disturbance observer to estimate and compensate the variable disturbance during cycling. A DC motor provides assisted power driving, the assistance method is based on the real-time wheel angular velocity and coordinate system transformation. The effect of observer is proved, and the proposed method guarantees stability under disturbances. It is also compared to the existing methods and their performances are illustrated through simulations. The proposed method improves the performance both in rapidity and stability.

     

  • loading
  • [1]
    Z. B. Li, W. Wang, C. Yang, and H. Y. Ding, “Bicycle mode share in China: A city-level analysis of long term trends,” Transportation, vol. 44, no. 4, pp. 773–788, Jul. 2017. doi: 10.1007/s11116-016-9676-8
    [2]
    E. Salmeron-Manzano and F. Manzano-Agugliaro, “The electric bicycle: Worldwide research trends,” Energies, vol. 11, pp. 1894, Jul. 2018.
    [3]
    B. C. Langford, C. R. Cherry, D. R. Bassett Jr., E. C. Fitzhugh, and N. Dhakal, “Comparing physical activity of pedal-assist electric bikes with walking and conventional bicycles,” J. Transp. Health, vol. 6, pp. 463–473, Sep. 2017. doi: 10.1016/j.jth.2017.06.002
    [4]
    X. Fan and M. Tomizuka, “Robust disturbance observer design for a power-assist electric bicycle,” in Proc. American Control Conf., Baltimore, USA, 2010, pp. 1166−1171.
    [5]
    Y. Li, J. F. Hu, F. B. Chen, S. P. Liu, Z. T. Yan, and Z. Y. He, “A new-variable-coil-structure-based IPT system with load-independent constant output current or voltage for charging electric bicycles,” IEEE Trans. Power Electron., vol. 33, no. 10, pp. 8226–8230, Oct. 2018. doi: 10.1109/TPEL.2018.2812716
    [6]
    M. Corno, D. Berretta, and S. M. Savaresi, “An IMU-driven rider-on-saddle detection system for electric-power-assisted bicycles,” IEEE Trans. Intell. Trans. Syst., vol. 17, no. 11, pp. 3184–3193, Nov. 2016. doi: 10.1109/TITS.2016.2544959
    [7]
    A. Wolf and S. Seebauer, “Technology adoption of electric bicycles: A survey among early adopters,” Trans. Res. Part A:Policy Pract., vol. 69, pp. 196–211, Nov. 2014.
    [8]
    T. Z. Li, F. Qian, and C. Su, “Energy consumption and emission of pollutants from electric bicycles,” Appl. Mech. Mater., vol. 505−506, pp. 327–333, Jan. 2014.
    [9]
    P. Spagnol, M. Corno, and S. M. Savaresi, “Pedaling torque reconstruction for half pedaling sensor,” in Proc. European Control Conf., Zurich, Switzerland, 2013, pp. 275−280.
    [10]
    D. S. Cheon and K. H. Nam, “Pedaling torque sensor-less power assist control of an electric bike via model-based impedance control,” Int. J. Autom. Technol., vol. 18, no. 2, pp. 327–333, Jan. 2017. doi: 10.1007/s12239-017-0033-5
    [11]
    F.-Y. Wang, N. N. Zheng, D. P. Cao, C. M. Martinez, L. Li, and T. Liu, “Parallel driving in CPSS: A unified approach for transport automation and vehicle intelligence,” IEEE/CAA J. Autom. Sinica, vol. 4, no. 4, pp. 577–587, Sep. 2017. doi: 10.1109/JAS.2017.7510598
    [12]
    H. Y. Guo, D. P. Cao, H. Chen, C. Lv, H. J. Wang, and S. Q. Yang, “Vehicle dynamic state estimation: State of the art schemes and perspectives,” IEEE/CAA J. Autom. Sinica, vol. 5, no. 2, pp. 418–431, Mar. 2018. doi: 10.1109/JAS.2017.7510811
    [13]
    L. Chen, X. M. Hu, W. Tian, H. Wang, D. P. Cao, and F. Y. Wang, “Parallel planning: A new motion planning framework for autonomous driving,” IEEE/CAA J. Autom. Sinica, vol. 6, no. 1, pp. 236–246, Jan. 2019. doi: 10.1109/JAS.2018.7511186
    [14]
    H. Niki, J. Miyata, and T. Murakami, “Power assist control of electric bicycle taking environment and rider’s condition into account,” in Proc. SPIE 6052, Optomechatronic Systems Control, Sapporo, Japan, 2005, pp. 60520H.
    [15]
    V. Sankaranarayanan and S. Ravichandran, “Torque sensorless control of a human-electric hybrid bicycle,” in Proc. Int. Conf. Industrial Instrumentation and Control, Pune, India, 2015, pp. 806−810.
    [16]
    T. Kurosawa, Y. Fujimoto, and T. Tokumaru, “Estimation of pedaling torque for electric power assisted bicycles,” in Proc. 40th Annu. Conf. of the IEEE Industrial Electronics Society, Dallas, USA, 2014, pp. 2756−2761.
    [17]
    N. Fukushima and Y. Fujimoto, “Estimation of pedaling torque for electric power-assisted bicycle on slope environment,” in Proc. IEEE Int. Conf. Advanced Intelligent Mechatronics, Munich, Germany, 2017, pp. 1682−1687.
    [18]
    G. Rallo, S. Formentin, M. Corno, and S. M. Savaresi, “Real-time cycling cadence estimation via wheel speed measurement,” Int. J. Adapt. Control Signal Process., vol. 32, no. 7, pp. 1052–1066, Jul. 2018. doi: 10.1002/acs.2885
    [19]
    W. Bertucci, F. Grappe, A. Girard, A. Betik, and J. D. Rouillon, “Effects on the crank torque profile when changing pedalling cadence in level ground and uphill road cycling,” J. Biomech., vol. 38, no. 5, pp. 1003–1010, May 2005. doi: 10.1016/j.jbiomech.2004.05.037
    [20]
    C. F. Huang, B. H. Dai, and T. J. Yeh, “Observer-based sensor fusion for power-assist electric bicycles,” in Proc. American Control Conf., Boston, USA, 2016, pp. 5486−5491.
    [21]
    D. M. Bevly, J. Ryu, and J. C. Gerdes, “Integrating INS sensors with GPS measurements for continuous estimation of vehicle sideslip, roll, and tire cornering stiffness,” IEEE Trans. Intell. Trans. Syst., vol. 7, no. 4, pp. 483–493, Dec. 2006. doi: 10.1109/TITS.2006.883110
    [22]
    J. O. Nilsson, A. K. Gupta, and P. Händel, “Foot-mounted inertial navigation made easy,” in Proc. Int. Conf. Indoor Positioning and Indoor Navigation, Busan, South Korea, 2014, pp. 24−29.
    [23]
    S. Y. Yu, J. Wang, Y. Wang, and H. Chen, “Disturbance observer based control for four wheel steering vehicles with model reference,” IEEE/CAA J. Autom. Sinica, vol. 5, no. 6, pp. 1121–1127, Nov. 2018. doi: 10.1109/JAS.2016.7510220
    [24]
    H. Y. Zhang, Z. H. Wang, L. S. Zhou, Q. N. Xue, L. Ma, and Y. F. Niu, “Explicit symplectic geometric algorithms for quaternion kinematical differential equation,” IEEE/CAA J. Autom. Sinica, vol. 5, no. 2, pp. 479–488, Mar. 2018. doi: 10.1109/JAS.2017.7510829
    [25]
    V. Matveev and V. Raspopov, Fundamentals of Designing Strapdown Inertial Navigation Systems. St. Petersburg, 2009, pp. 140.
    [26]
    C. F. Huang, B. H. Dai, and T. J. Yeh, “Determination of motor torque for power-assist electric bicycles using observer-based sensor fusion,” J. Dyn. Syst.,Meas. Control, vol. 14, no. 7, pp. 071019, Jul. 2018.
    [27]
    Z. L. Zhao, B. Z. Guo, and Z. P. Jiang, “A new extended state observer for output tracking of nonlinear MIMO systems,” in Proc. 56th IEEE Annu. Conf. Decision and Control, Melbourne, Australia, 2017, pp. 6732−6737.
    [28]
    F. F. Zhao, C. Q. Chen, W. He, and S. S. Ge, “A filtering approach based on MMAE for a SINS/CNS integrated navigation system,” IEEE/CAA J. Autom. Sinica, vol. 5, no. 6, pp. 1113–1120, Nov. 2018. doi: 10.1109/JAS.2017.7510445
    [29]
    M. Chen, “Robust tracking control for self-balancing mobile robots using disturbance observer,” IEEE/CAA J. Autom. Sinica, vol. 4, no. 3, pp. 458–465, Jul. 2017. doi: 10.1109/JAS.2017.7510544
    [30]
    C. L. Chen and M. C. Tsai, “Torque control of power-assisted bike via planetary gear mechanism,” in Proc. 20th Int. Conf. Electrical Machines and Systems, Sydney, Australia, 2017, pp. 1−5.
    [31]
    Y. Zhao and X. D. Pan, “Experimental research on the bicycle speed and turning radius on urban road intersection,” J. Transport Science and Engineering, vol. 29, no. 1, pp. 81–85, Mar. 2013.

Catalog

    通讯作者: 陈斌, bchen63@163.com
    • 1. 

      沈阳化工大学材料科学与工程学院 沈阳 110142

    1. 本站搜索
    2. 百度学术搜索
    3. 万方数据库搜索
    4. CNKI搜索

    Figures(15)  / Tables(2)

    Article Metrics

    Article views (1669) PDF downloads(55) Cited by()

    Highlights

    • Coordinate Conversion In order to obtain the accurate angular velocity and acceleration to control the speed of the electric bicycle, we calculate and use the real-time data of the carrier coordinate system (pedal) relative to the geographic coordinate system by quaternion-based coordinate conversion.
    • Disturbance observer Considering the variability of frictions, we build a second-order low pass filter with a special cut-off frequency , so that the majority of disturbances can be observed and compensated.
    • Velocity control A permanent magnet brushless DC motor is used for adaptively assisted riding. Based on the real-time angular velocity of the rear wheel, the motor can provide assistance power for controlling the riding speed within a certain range.

    /

    DownLoad:  Full-Size Img  PowerPoint
    Return
    Return