A journal of IEEE and CAA , publishes high-quality papers in English on original theoretical/experimental research and development in all areas of automation
Volume 7 Issue 1
Jan.  2020

IEEE/CAA Journal of Automatica Sinica

  • JCR Impact Factor: 19.2, Top 1 (SCI Q1)
    CiteScore: 28.2, Top 1% (Q1)
    Google Scholar h5-index: 95, TOP 5
Turn off MathJax
Article Contents
Laura Menini, Corrado Possieri and Antonio Tornambè, "Algorithms to Compute the Largest Invariant Set Contained in an Algebraic Set for Continuous-Time and Discrete-Time Nonlinear Systems," IEEE/CAA J. Autom. Sinica, vol. 7, no. 1, pp. 57-69, Jan. 2020. doi: 10.1109/JAS.2019.1911819
Citation: Laura Menini, Corrado Possieri and Antonio Tornambè, "Algorithms to Compute the Largest Invariant Set Contained in an Algebraic Set for Continuous-Time and Discrete-Time Nonlinear Systems," IEEE/CAA J. Autom. Sinica, vol. 7, no. 1, pp. 57-69, Jan. 2020. doi: 10.1109/JAS.2019.1911819

Algorithms to Compute the Largest Invariant Set Contained in an Algebraic Set for Continuous-Time and Discrete-Time Nonlinear Systems

doi: 10.1109/JAS.2019.1911819
More Information
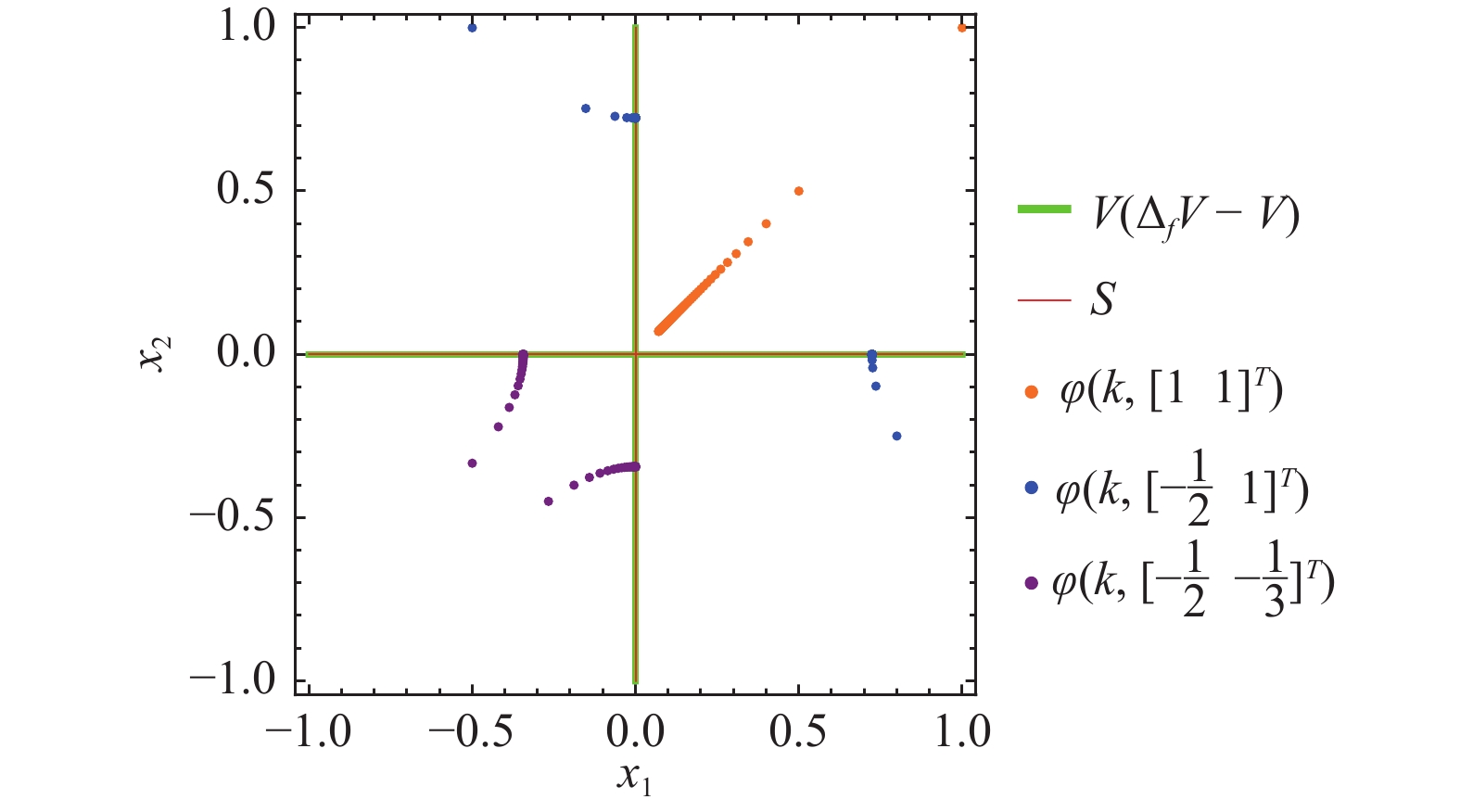
  • In this paper, some computational tools are proposed to determine the largest invariant set, with respect to either a continuous-time or a discrete-time system, that is contained in an algebraic set. In particular, it is shown that if the vector field governing the dynamics of the system is polynomial and the considered analytic set is a variety, then algorithms from algebraic geometry can be used to solve the considered problem. Examples of applications of the method (spanning from the characterization of the stability to the computation of the zero dynamics) are given all throughout the paper.

     

  • loading
  • [1]
    A. M. Lyapunov, " The general problem of the stability of motion,” Int. J. Control, vol. 55, no. 3, pp. 531–534, 1992. doi: 10.1080/00207179208934253
    [2]
    R. E. Kalman and J. E. Bertram, " Control system analysis and design via the " second method” of Lyapunov I: continuous-time systems,” J. Basic Eng., vol. 82, no. 2, pp. 371–393, 1960. doi: 10.1115/1.3662604
    [3]
    R. E. Kalman and J. E. Bertram, " Control system analysis and design via the " second method” of Lyapunov II: discrete-time systems,” J. Basic Eng., vol. 82, no. 2, pp. 394–400, 1960. doi: 10.1115/1.3662605
    [4]
    H. K. Khalil, Noninear Systems. Prentice-Hall, 1996.
    [5]
    S. Elaydi, An Introduction to Difference Equations. NY: Springer, 2005.
    [6]
    A. Bacciotti and A. Biglio, " Some remarks about stability of nonlinear discrete-time control systems,” Nonlinear Differ. Equ. Appl., vol. 8, no. 4, pp. 425–438, 2001. doi: 10.1007/PL00001456
    [7]
    A. R. Teel, " Lyapunov conditions certifying stability and recurrence for a class of stochastic hybrid systems,” Annu. Rev. Control, vol. 37, no. 1, pp. 1–24, 2013. doi: 10.1016/j.arcontrol.2013.02.001
    [8]
    J. P. LaSalle, " An invariance principle in the theory of stability,” Tech. Rep. 66-1, Center for Dynamical Systems, Brown University, Providence, 1966.
    [9]
    J. P. LaSalle, The Stability of Dynamical Systems. SIAM, 1976.
    [10]
    I. Kolmanovsky and E. G. Gilbert, " Theory and computation of disturbance invariant sets for discrete-time linear systems,” Math. Prob. Eng., vol. 4, no. 4, pp. 317–367, 1998. doi: 10.1155/S1024123X98000866
    [11]
    W. M. Wonham and A. S. Morse, " Decoupling and pole assignment in linear multivariable systems: a geometric approach,” SIAM J. Control, vol. 8, no. 1, pp. 1–18, 1970. doi: 10.1137/0308001
    [12]
    W. Lin and C. I. Byrnes, " Zero-state observability and stability of discrete-time nonlinear systems,” Automatica, vol. 31, no. 2, pp. 269–274, 1995. doi: 10.1016/0005-1098(94)00088-Z
    [13]
    A. Krener and A. Isidori, " Nonlinear zero distributions,” in Proc. IEEE Conf. Decis. Control, pp. 665–668, 1984.
    [14]
    A. Isidori, " The zero dynamics of a nonlinear system: from the origin to the latest progresses of a long successful story,” Eur. J. Control, vol. 19, no. 5, pp. 369–378, 2013. doi: 10.1016/j.ejcon.2013.05.014
    [15]
    W. Mei and F. Bullo, " Lasalle invariance principle for discrete-time dynamical systems: a concise and self-contained tutorial,” 2017.
    [16]
    M. Vidyasagar, Nonlinear Systems Analysis. SIAM, 2002.
    [17]
    L. F. Alberto, T. R. Calliero, and A. C. Martins, " An invariance principle for nonlinear discrete autonomous dynamical systems,” IEEE Trans. Autom. Control, vol. 52, no. 4, pp. 692–697, 2007. doi: 10.1109/TAC.2007.894532
    [18]
    J. K. Hale, " Dynamical systems and stability,” J. Math. Anal. Appl., vol. 26, no. 1, pp. 39–59, 1969. doi: 10.1016/0022-247X(69)90175-9
    [19]
    J. P. Hespanha, D. Liberzon, D. Angeli, and E. D. Sontag, " Nonlinear norm-observability notions and stability of switched systems,” IEEE Trans. Autom. Control, vol. 50, no. 2, pp. 154–168, 2005. doi: 10.1109/TAC.2004.841937
    [20]
    C. M. Kellett and A. R. Teel, " Smooth Lyapunov functions and robustness of stability for difference inclusions,” Syst. Control Lett., vol. 52, no. 5, pp. 395–405, 2004. doi: 10.1016/j.sysconle.2004.02.015
    [21]
    L. Menini, C. Possieri, and A. Tornambe, " Switching signal estimator design for a class of elementary systems,” IEEE Trans. Autom. Control, vol. 61, no. 5, pp. 1362–1367, 2016. doi: 10.1109/TAC.2015.2476135
    [22]
    K. Forsman, Some Generic Results on Algebraic Observability and Connections With Realization Theory. Linköping University, 1993.
    [23]
    L. Menini, C. Possieri, and A. Tornambe, " Algebraic certificates of (semi) definiteness for polynomials over fields containing the rationals,” IEEE Trans. Autom.Control, vol. 63, no. 1, pp. 158–173, 2018. doi: 10.1109/TAC.2017.2717941
    [24]
    K. Forsman and T. Glad, " Constructive algebraic geometry in nonlinear control,” in Proc. 29th IEEE Conf. Decis. Control, vol. 5, pp. 2825–2827, 1990.
    [25]
    L. Menini, C. Possieri, and A. Tornambe, " Algebraic methods for multiobjective optimal design of control feedbacks for linear systems,” IEEE Trans. Autom. Control, vol. 63, no. 12, pp. 4188–4203, 2018. doi: 10.1109/TAC.2018.2800784
    [26]
    D. Nesic and I. M. Y. Mareels, " Controllability of structured polynomial systems,” IEEE Trans. Autom. Control, vol. 44, no. 4, pp. 761–764, 1999. doi: 10.1109/9.754813
    [27]
    C. Possieri and A. Tornambe, " On polynomial vector fields having a given affine variety as attractive and invariant set: application to robotics,” Int. J. Control, vol. 88, no. 5, pp. 1001–1025, 2015.
    [28]
    C. Possieri and M. Sassano, " Motion planning, formation control and obstacle avoidance for multi-agent systems,” in Proc. IEEE Conf. Control Techn. Appl., pp. 879–884, 2018.
    [29]
    R. Hermann and A. Krener, " Nonlinear controllability and observability,” IEEE Tran. Autom. Control, vol. 22, no. 5, pp. 728–740, 1977. doi: 10.1109/TAC.1977.1101601
    [30]
    Z. Bartosiewicz, " Local observability of nonlinear systems,” Syst. Control Lett., vol. 25, no. 4, pp. 295–298, 1995. doi: 10.1016/0167-6911(94)00074-6
    [31]
    Z. Bartosiewicz, " Algebraic criteria of global observability of polynomial systems,” Automatica, vol. 69, pp. 210–213, 2016. doi: 10.1016/j.automatica.2016.02.033
    [32]
    D. R. Grayson and M. E. Stillman, " Macaulay2, a software system for research in algebraic geometry.” [Online] Available :http://www.math.uiuc.edu/Macaulay2/.
    [33]
    D. A. Cox, J. Little, and D. O’Shea, Ideals, Varieties, and Algorithms. New York: Springer, 2015.
    [34]
    L. Menini and A. Tornambe, Symmetries and Semi-invariants in the Analysis of Nonlinear Systems. New York: Springer, 2011.
    [35]
    J. P. LaSalle, " Stability theory for ordinary differential equations,” J. Diff. Equat., vol. 4, no. 1, pp. 57–65, 1968. doi: 10.1016/0022-0396(68)90048-X
    [36]
    G. Valmorbida and J. Anderson, " Region of attraction estimation using invariant sets and rational lyapunov functions,” Automatica, vol. 75, pp. 37–45, 2017. doi: 10.1016/j.automatica.2016.09.003
    [37]
    A. Iannelli, A. Marcos, and M. Lowenberg, " Robust estimations of the region of attraction using invariant sets,” J. Franklin Inst., vol. 356, no. 8, pp. 4622–4647, 2019. doi: 10.1016/j.jfranklin.2019.02.013
    [38]
    M. W. Hirsch, S. Smale, and R. L. Devaney, Differential Equations, Dynamical Systems, and An Introduction to Chaos. Academic press, 2012.
    [39]
    M. A. Savageau and E. O. Voit, " Recasting nonlinear differential equations as s-systems: a canonical nonlinear form,” Math. Biosci., vol. 87, no. 1, pp. 83–115, 1987. doi: 10.1016/0025-5564(87)90035-6
    [40]
    D. A. Cox, J. Little, and D. O’Shea, Using Algebraic Geometry. New York: Springer, 2006.
    [41]
    Y. Inouye, " On the observability of autonomous nonlinear systems,” J. Math. Anal. Appli., vol. 60, no. 1, pp. 236–247, 1977. doi: 10.1016/0022-247X(77)90062-2
    [42]
    A. Isidori, Nonlinear Control Systems. New York: Springer, 2013.
    [43]
    J. P. LaSalle, The Stability and Control of Discrete Processes. New York: Springer, 2012.
    [44]
    V. Sundarapandian, " An invariance principle for discrete-time nonlinear systems,” Appl. Math. Lett., vol. 16, no. 1, pp. 85–91, 2003. doi: 10.1016/S0893-9659(02)00148-9
    [45]
    W. M. Haddad and V. Chellaboina, Nonlinear Dynamical Systems and Control: A Lyapunov-Based Approach. Princeton Univ. Press, 2008.
    [46]
    M. Cao, A. S. Morse, and B. D. O. Anderson, " Coordination of an asynchronous multi-agent system via averaging,” IFAC Proc. Vol., vol. 38, no. 1, pp. 17–22, 2005.
    [47]
    L. Menini, C. Possieri, and A. Tornambe, " A symbolic algorithm to compute immersions of polynomial systems into linear ones up to an output injection,” J. Symb. Comput., 2019.
    [48]
    M. Bardet, " On the complexity of a Gröbner basis algorithm,” in Algorithms Seminar (F. Chyzak, ed.), pp. 85–92, 2005.
    [49]
    M. Bardet, J.-C. Faugere, and B. Salvy, " On the complexity of Gröbner basis computation of semi-regular overdetermined algebraic equations,” in Proc. Int. Conf. Polynomial System Solving, pp. 71–74, 2004.
    [50]
    P. Bürgisser, M. Clausen, and A. Shokrollahi, Algebraic Complexity Theory, vol. 315. Springer, 2013.

Catalog

    通讯作者: 陈斌, bchen63@163.com
    • 1. 

      沈阳化工大学材料科学与工程学院 沈阳 110142

    1. 本站搜索
    2. 百度学术搜索
    3. 万方数据库搜索
    4. CNKI搜索

    Figures(7)

    Article Metrics

    Article views (2132) PDF downloads(89) Cited by()

    Highlights

    • Computational tools are proposed to determine the largest invariant set, with respect to either a continuous-time or a discrete-time system, that is contained in an algebraic set.
    • If the vector field governing the dynamics of the system is polynomial and the considered analytic set is a variety, then algorithms from algebraic geometry can be used to solve the considered problem.
    • Examples of applications of the method, spanning from the characterization of the stability to the computation of the zero dynamics, are given throughout the paper.

    /

    DownLoad:  Full-Size Img  PowerPoint
    Return
    Return