A journal of IEEE and CAA , publishes high-quality papers in English on original theoretical/experimental research and development in all areas of automation
Volume 6 Issue 6
Nov.  2019

IEEE/CAA Journal of Automatica Sinica

  • JCR Impact Factor: 19.2, Top 1 (SCI Q1)
    CiteScore: 28.2, Top 1% (Q1)
    Google Scholar h5-index: 95, TOP 5
Turn off MathJax
Article Contents
Changan Jiang and Satoshi Ueno, "Posture Maintenance Control of 2-Link Object By Nonprehensile Two-Cooperative-Arm Robot Without Compensating Friction," IEEE/CAA J. Autom. Sinica, vol. 6, no. 6, pp. 1397-1403, Nov. 2019. doi: 10.1109/JAS.2019.1911759
Citation: Changan Jiang and Satoshi Ueno, "Posture Maintenance Control of 2-Link Object By Nonprehensile Two-Cooperative-Arm Robot Without Compensating Friction," IEEE/CAA J. Autom. Sinica, vol. 6, no. 6, pp. 1397-1403, Nov. 2019. doi: 10.1109/JAS.2019.1911759

Posture Maintenance Control of 2-Link Object By Nonprehensile Two-Cooperative-Arm Robot Without Compensating Friction

doi: 10.1109/JAS.2019.1911759
More Information
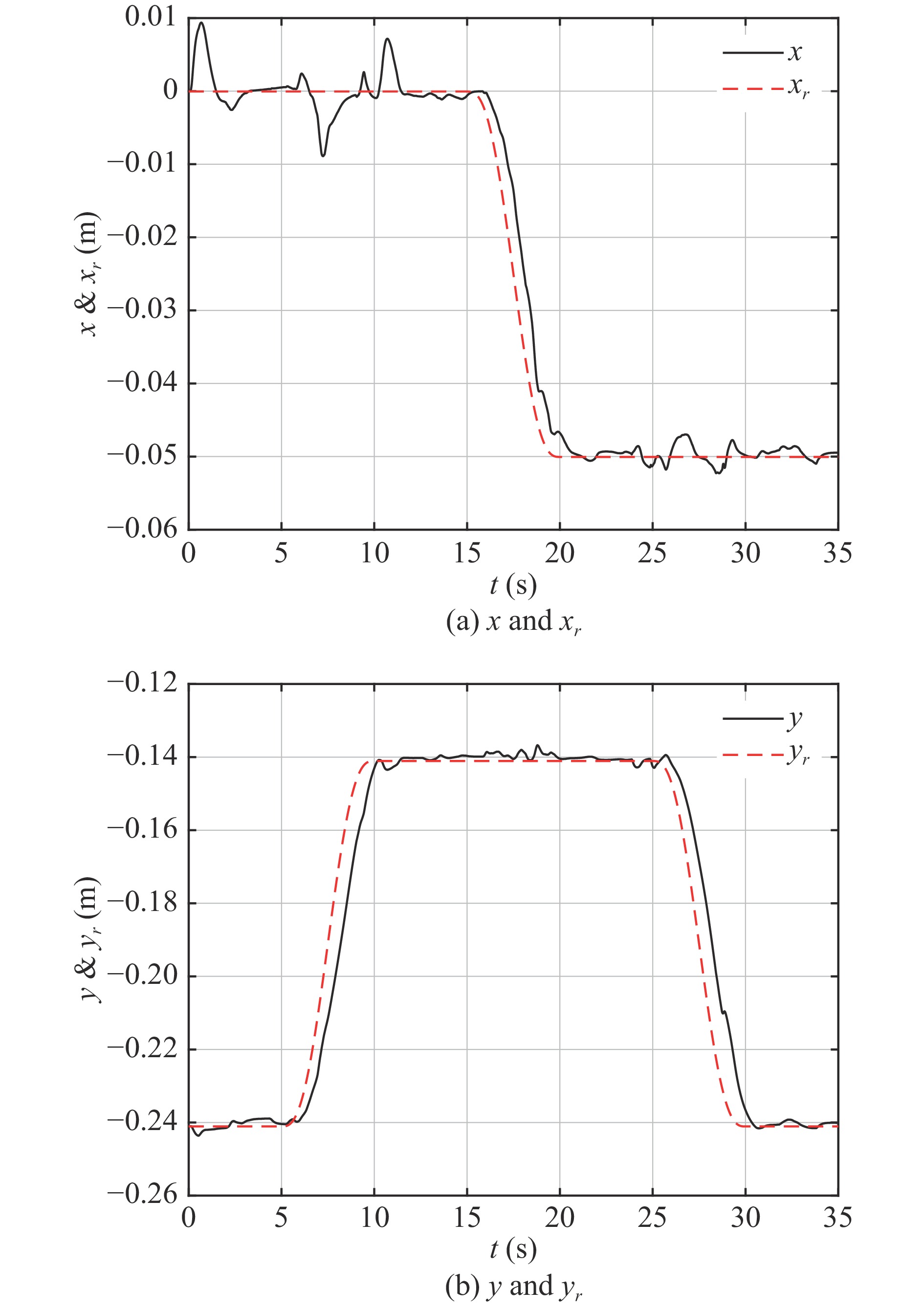
  • In this paper, a method to posture maintenance control of 2-link object by nonprehensile two-cooperative-arm robot without compensating friction is proposed. In details, a mathematical model of the 2-link object is firstly built. Based on the model, stable regions for holding motion of nonprehensile two-cooperative-arm robot are obtained while the 2-link object is kept stable on the robot arms with static friction. Among the obtained stable regions, the robust pairs of orientation angles of the 2-link object are found. Under the robust orientation angles, a feedback control system is designed to control the arms to maintain the 2-link object’s posture while it is being held or lifted up. Finally, experimental results are shown to verify the effectiveness of the proposed method.

     

  • loading
  • [1]
    J. Jiang, Z. Huang, B. Huo, Y. Zhang, and S. Song, " Research progress and prospect of nursing robot,” Recent Patents on Mechanical Engineering, vol. 11, no. 1, pp. 41–57, 2018. doi: 10.2174/2212797611666180306124236
    [2]
    T. Tanioka, Y. Yasuhara, K. Osaka, H. Ito, and R. C. Locsin, Nursing Robots-Robotic Technology and Human Caring for the Elderly, Fukuo Shuppan Publishing, 2017.
    [3]
    R. C. Locsin and H. Ito, " Can humanoid nurse robots replace human nurses?” J. Nursing, vol. 5, pp. Article 1, 2018. doi: 10.7243/2056-9157-5-1
    [4]
    AMED, Robotic care devices portal, http://robotcare.jp/?lang=en.
    [5]
    RIKEN, Introduction of ROBEAR, http://rtc.nagoya.riken.jp/ROBEAR/.
    [6]
    F. Ruggiero, V. Lippiello, and B. Siciliano, " Nonprehensile dynamic manipulation: a survey,” IEEE Robotics and Automation Letters, vol. 3, no. 3, pp. 1711–1718, 2018. doi: 10.1109/LRA.2018.2801939
    [7]
    K. M. Lynch and C. K. Black, " Recurrence, controllability and stabilization of juggling,” IEEE Trans. Robotics and Automation, vol. 17, no. 2, pp. 113–124, 2001. doi: 10.1109/70.928557
    [8]
    R. Ronsse, P. Lefevre, and R. Sepulchre, " Rhythmic feedback control of a blind planar juggler,” IEEE Trans. Robotics, vol. 23, no. 4, pp. 790–802, 2007. doi: 10.1109/TRO.2007.900602
    [9]
    P. Cigliano, V. Lippiello, F. Ruggiero and B. Siciliano, " Robotic ball catching with an eye-in-hand single-camera system,” IEEE Trans. Control Systems Technology, vol. 23, no. 5, pp. 1657–1671, 2015. doi: 10.1109/TCST.2014.2380175
    [10]
    L. Acosta, J. Rodrigo, J. Mendez, G. Marichal, and M. Sigut, " Pingpong player prototype,” IEEE Robotics &Automation Magazine, vol. 10, no. 4, pp. 44–52, 2003.
    [11]
    M. Higashimori, K. Utsumi, Y. Omoto, and M. Kaneko, " Dynamic manipulation inspiered by the handling of a pizza peel,” IEEE Trans. Robotics, vol. 25, no. 4, pp. 829–838, 2009. doi: 10.1109/TRO.2009.2017085
    [12]
    T. Vose, P. Umbanhowar, and K. Lynch, " Friction-induced velocity for point parts on a rigid oscillated plate,” Int. J. Robotics Research, vol. 28, no. 8, pp. 1020–1039, 2009. doi: 10.1177/0278364909340279
    [13]
    Z. Zyada, Y. Hayakawa, and S. Hosoe, " Model-based control for nonprehensile manipulation of a two-rigid-link object by two cooperative arms,” in Proc. IEEE Int. Conf. Robotics and Biomimetics, pp. 472–477, 2010.
    [14]
    O. Mehrez, Z. Zyada, H. S. Abbas, and A. A. Abo-Ismail, " Nonprehensile manipulation planning of a three-rigid-link object using two cooperative robot arms,” Int. J. Modelling,Identification and Control, vol. 26, no. 1, pp. 19–31, 2006.
    [15]
    Z. Zyada, Y. Hayakawa, and S. Hosoe, " Fuzzy nonprehensile manipulation control of a two-rigid-link object by two cooperative arms,” in Proc. 18th IFAC World Cong., pp. 14614–14621, 2011.
    [16]
    C. Canudas de Wit, H. Olsson, K. J. Astrom, and P. Lischinsky, " A new model for control of systems with friction,” IEEE Trans. Automatic Control, vol. 40, no. 3, pp. 429–425, 1995.
    [17]
    C. Jiang, Y. Nakatomi, and S. Ueno, " Optimal control of holding motion by non prehensile two-cooperative-arm robot,” Mathematical Problems in Engineering, vol. 2016, pp. Article ID: 5921871, 2016.

Catalog

    通讯作者: 陈斌, bchen63@163.com
    • 1. 

      沈阳化工大学材料科学与工程学院 沈阳 110142

    1. 本站搜索
    2. 百度学术搜索
    3. 万方数据库搜索
    4. CNKI搜索

    Figures(15)  / Tables(1)

    Article Metrics

    Article views (1988) PDF downloads(79) Cited by()

    Highlights

    • This research focuses on posture maintenance control of 2-link object regarded as a care-receiver.
    • Nonprehensile two-cooperative-arm robot is employed to maintain the 2-link object’s posture.
    • Without compensating friction, 2-link object can be held or lift up by the nonprehensile robot.
    • Robust pairs of orientation angles are obtained and used to posture maintenance control.

    /

    DownLoad:  Full-Size Img  PowerPoint
    Return
    Return