A journal of IEEE and CAA , publishes high-quality papers in English on original theoretical/experimental research and development in all areas of automation
Volume 7 Issue 3
Apr.  2020

IEEE/CAA Journal of Automatica Sinica

  • JCR Impact Factor: 19.2, Top 1 (SCI Q1)
    CiteScore: 28.2, Top 1% (Q1)
    Google Scholar h5-index: 95, TOP 5
Turn off MathJax
Article Contents
Chao Liu, Zheng Yang, Xiaoyang Liu and Xianying Huang, "Stability of Delayed Switched Systems With State-Dependent Switching," IEEE/CAA J. Autom. Sinica, vol. 7, no. 3, pp. 872-881, May 2020. doi: 10.1109/JAS.2019.1911624
Citation: Chao Liu, Zheng Yang, Xiaoyang Liu and Xianying Huang, "Stability of Delayed Switched Systems With State-Dependent Switching," IEEE/CAA J. Autom. Sinica, vol. 7, no. 3, pp. 872-881, May 2020. doi: 10.1109/JAS.2019.1911624

Stability of Delayed Switched Systems With State-Dependent Switching

doi: 10.1109/JAS.2019.1911624
Funds:  This work was supported by the National Natural Science Foundation of China (61503052, 61503050, 61603065), the Scientific and Technological Research Program of Chongqing Municipal Education Commission (KJQN201801120, KJQN201801104, KJ1709206), the Opening Foundation of Hubei Key Laboratory of Applied Mathematics (Hubei University) (HBAM201805), and Chongqing Science and Technology Commission Technology Innovation and Application Demonstration (Social Livelihood General) Project (cstc2018jscx-msybX0049)
More Information
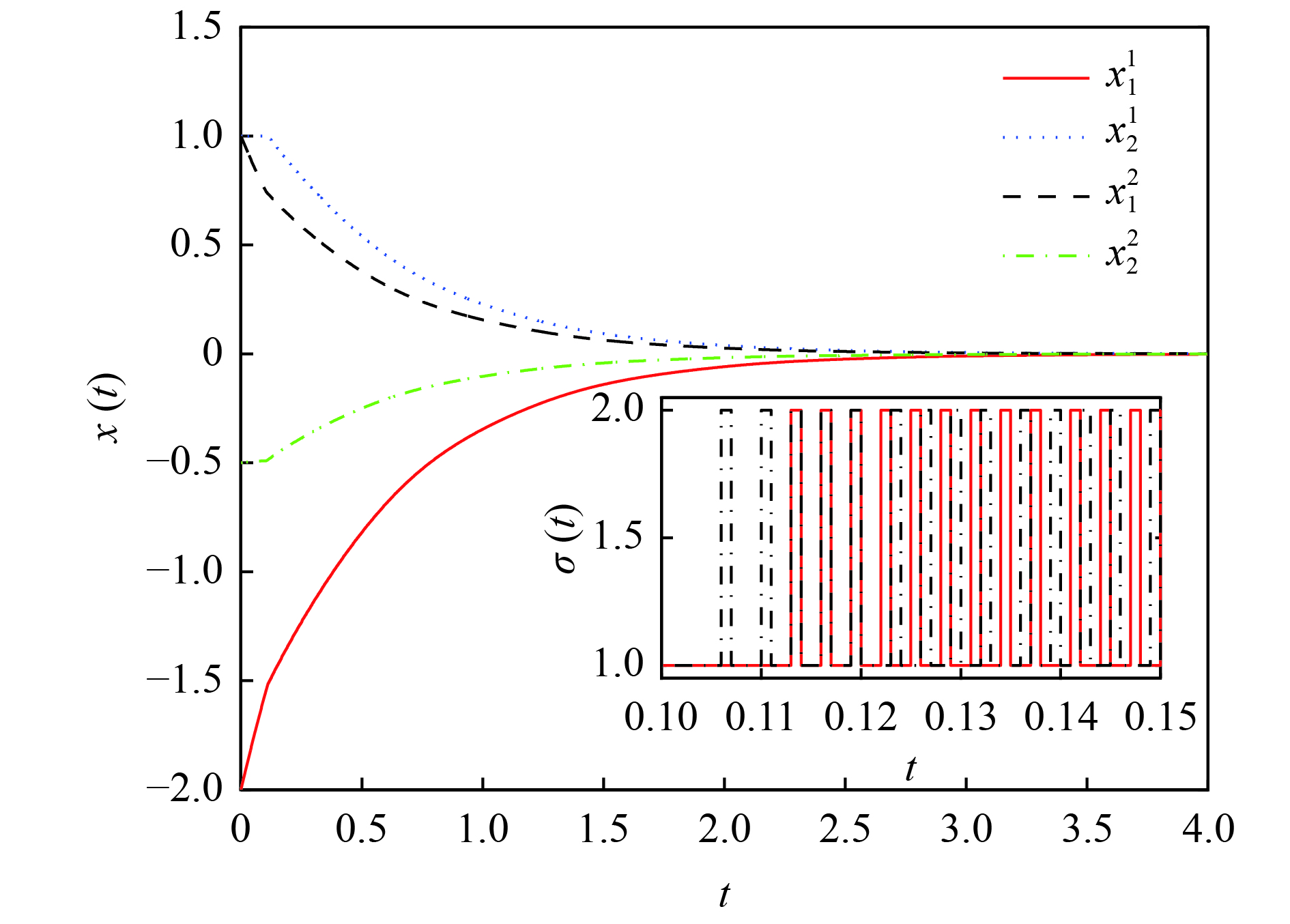
  • This paper investigates the stability of switched systems with time-varying delay and all unstable subsystems. According to the stable convex combination, we design a state-dependent switching rule. By employing Wirtinger integral inequality and Leibniz-Newton formula, the stability results of nonlinear delayed switched systems whose nonlinear terms satisfy Lipschitz condition under the designed state-dependent switching rule are established for different assumptions on time delay. Moreover, some new stability results for linear delayed switched systems are also presented. The effectiveness of the proposed results is validated by three typical numerical examples.

     

  • loading
  • [1]
    Z. D. Sun and S. Z. S. Ge, Switched Linear System-Control and Design. London: Springer, 2005.
    [2]
    X. He and J. Zhao, “Multiple Lyapunov functions with blending for induced L2-norm control of switched LPV systems and its application to an F16 aircraft model,” Asian J. Control, vol. 16, no. 1, pp. 149–161, 2014. doi: 10.1002/asjc.2014.16.issue-1
    [3]
    C. Tomlin, G. J. Pappas, and S. Sastry, “Conflict resolution for air traffic management: a study in multiagent hybrid systems,” IEEE Trans. Autom. Control, vol. 43, no. 4, pp. 509–521, 1998. doi: 10.1109/9.664154
    [4]
    T. C. Lee and Z. P. Jiang, “Uniform asymptotic stability of nonlinear switched systems with an application to mobile robots,” IEEE Trans. Autom. Control, vol. 53, no. 5, pp. 1235–1252, 2008. doi: 10.1109/TAC.2008.923688
    [5]
    T. Y. Doh and J. R. Ryoo, “A linear matrix inequality approach to initial value compensation for mode switching control in hard disk drive servo systems,” IEEE Trans. Magnetics, vol. 45, no. 9, pp. 3362–3364, 2009. doi: 10.1109/TMAG.2009.2022401
    [6]
    M. B. Yazdi and M. R. Jahed-Motlagh, “Stabilization of a CSTR with two arbitrarily switching modes using modal state feedback linearization,” Chemical Engineering J., vol. 155, no. 3, pp. 838–843, 2009. doi: 10.1016/j.cej.2009.09.008
    [7]
    A. Leonessa, M. M. Haddad, and V. Chellaboina, “Nonlinear system stabilization via hierarchical switching control,” IEEE Trans. Autom. Control, vol. 46, no. 1, pp. 17–28, 2001. doi: 10.1109/9.898692
    [8]
    A. Mbarek, K. B. Saad, and M. Benrejeb, “Determination of the switching times of the bang-bang control for a linear stepping motor by Lyapunov functions,” Studies in Informatics Control, vol. 17, no. 4, pp. 393–406, 2008.
    [9]
    C. D. Li, G. Feng, and X. F. Liao, “Stabilization of nonlinear systems via periodically intermittent control,” IEEE Trans. Circuits Systems II Express Briefs, vol. 54, no. 11, pp. 1019–1023, 2007. doi: 10.1109/TCSII.2007.903205
    [10]
    J. P. Hespanha, D. Liberzon, and A. S. Morse, “Hysteresisbased switching algorithms for supervisory control of uncertain systems,” Automatica, vol. 39, no. 2, pp. 263–272, 2003. doi: 10.1016/S0005-1098(02)00241-8
    [11]
    R. A. Decarlo, M. S. Branicky, S. Pettersson, and B. Lennartson, “Perspectives and results on the stability and stabilizability of hybrid systems,” Proc. of IEEE, vol. 88, no. 7, pp. 1069–1082, 2000. doi: 10.1109/5.871309
    [12]
    Y. Guo, W. Lin, Y. M. Chen, and J. H. Wu, “Instability in time-delayed switched systems induced by fast and random switching,” J. Differential Equations, vol. 263, no. 2, pp. 880–909, 2017. doi: 10.1016/j.jde.2017.03.003
    [13]
    D. Liberzon, Switching in Systems and Control, Boston: Birkhuser, 2003.
    [14]
    W. M. Xiang, D. H. Tran, and T. T. Johnson, “Robust exponential stability and disturbance attenuation for discretetime switched systems under arbitrary switching,” IEEE Trans. Autom. Control, vol. 63, no. 5, pp. 1450–1456, 2018. doi: 10.1109/TAC.2017.2748918
    [15]
    L. J. Long and J. Zhao, “An integral-type multiple Lyapunov functions approach for switched nonlinear systems,” IEEE Trans. Autom. Control, vol. 61, no. 7, pp. 1979–1986, 2016. doi: 10.1109/TAC.2015.2484332
    [16]
    Y. E. Wang, X. M. Sun, and F. Mazenc, “Stability of switched nonlinear systems with delay and disturbance,” Automatica, vol. 69, pp. 78–86, 2016. doi: 10.1016/j.automatica.2016.02.015
    [17]
    X. D. Zhao, L. X. Zhang, P. Shi, and M. Liu, “Stability and stabilization of switched linear systems with mode-dependent average dwell time,” IEEE Trans. Autom. Control, vol. 57, no. 7, pp. 1809–1815, 2012. doi: 10.1109/TAC.2011.2178629
    [18]
    W. M. Xiang and J. Xiao, “Stabilization of switched continuoustime systems with all modes unstable via dwell time switching,” Automatica, vol. 50, no. 3, pp. 940–945, 2014. doi: 10.1016/j.automatica.2013.12.028
    [19]
    J. T. Qi, C. D. Li, T. W. Huang, and W. Zhang, “Exponential stability of switched time-varying delayed neural networks with all modes being unstable,” Neural Processing Letters, vol. 43, no. 2, pp. 553–565, 2016. doi: 10.1007/s11063-015-9428-3
    [20]
    Q. Z. Wang, H. B. Sun, and G. D. Zong, “Stability analysis of switched delay systems with all subsystems unstable,” Int. J. Control Autom. Systems, vol. 14, no. 5, pp. 1262–1269, 2016. doi: 10.1007/s12555-015-0052-9
    [21]
    S. Kim, S. A. Campbell, and X. Z. Liu, “Stability of a class of linear switching systems with time delay,” IEEE Trans. Circuits Systems I Regular Papers, vol. 53, no. 2, pp. 384–393, 2006. doi: 10.1109/TCSI.2005.856666
    [22]
    X. M. Sun, W. Wang, G. P. Liu, and J. Zhao, “Stability analysis for linear switched systems with time-varying delay,” IEEE Trans. Systems,Man,Cybernetics,Part B Cybernetics, vol. 38, no. 2, pp. 528–533, 2008. doi: 10.1109/TSMCB.2007.912078
    [23]
    Z. C. Li, Y. L. Xu, Z. Y. Fei, and R. Agarwal, “Exponential stability analysis and stabilization of switched delay systems,” J. Franklin Institute, vol. 352, no. 11, pp. 4980–5002, 2015. doi: 10.1016/j.jfranklin.2015.08.002
    [24]
    J. Lian, K. Zhang, and Z. Feng, “Stability analysis for switched Hopfield neural networks with time delay,” Optimal Control Applications Methods, vol. 33, no. 4, pp. 433–444, 2012. doi: 10.1002/oca.1005
    [25]
    X. Y. Ding and X. Liu, “On stabilizability of switched positive linear systems under state-dependent switching,” Applied Mathematics and Computation, vol. 307, pp. 92–101, Aug. 2017. doi: 10.1016/j.amc.2017.03.007
    [26]
    J. C. Geromel and P. Colaneri, “Stability and stabilization of continuous-time switched linear systems,” SIAM J. Control and Optimization, vol. 45, no. 5, pp. 1915–1930, 2006. doi: 10.1137/050646366
    [27]
    L. I. Allerhand and U. Shaked, “Robust state-dependent switching of linear systems with dwell time,” IEEE Trans. Autom. Control, vol. 58, no. 4, pp. 994–1001, 2013. doi: 10.1109/TAC.2012.2218146
    [28]
    M. Souza, A. R. Fioravanti, M. Corless, and R. N. Shorten, “Switching controller design with dwell-times and sampling,” IEEE Trans. Autom. Control, vol. 62, no. 11, pp. 5837–5843, 2017. doi: 10.1109/TAC.2016.2640022
    [29]
    A. Seuret and F. Gouaisbaut, “Wirtinger-based integral inequality: application to time-delay systems,” Automatica, vol. 49, no. 9, pp. 2860–2866, 2013. doi: 10.1016/j.automatica.2013.05.030
    [30]
    C. K. Zhang, Y. He, L. Jiang, M. Wu, and H. B. Zeng, “Stability analysis of systems with time-varying delay via relaxed integral inequalities,” Systems Control Letters, vol. 92, pp. 52–61, 2016. doi: 10.1016/j.sysconle.2016.03.002
    [31]
    M. S. Mahmoud, Switched Time-Delay Systems, London: Springer, 2010.
    [32]
    M. S. Mahmoud, Resilient Control of Uncertain Dynamical Systems, London: Springer, 2004.

Catalog

    通讯作者: 陈斌, bchen63@163.com
    • 1. 

      沈阳化工大学材料科学与工程学院 沈阳 110142

    1. 本站搜索
    2. 百度学术搜索
    3. 万方数据库搜索
    4. CNKI搜索

    Figures(5)  / Tables(3)

    Article Metrics

    Article views (1882) PDF downloads(103) Cited by()

    Highlights

    • Stability results for switched systems under state-dependent switching rule are derived.
    • The restriction on time delay is weakened.
    • State-dependent switching rule is designed for nonlinear switched systems.

    /

    DownLoad:  Full-Size Img  PowerPoint
    Return
    Return