A journal of IEEE and CAA , publishes high-quality papers in English on original theoretical/experimental research and development in all areas of automation
Volume 6 Issue 6
Nov.  2019

IEEE/CAA Journal of Automatica Sinica

  • JCR Impact Factor: 19.2, Top 1 (SCI Q1)
    CiteScore: 28.2, Top 1% (Q1)
    Google Scholar h5-index: 95, TOP 5
Turn off MathJax
Article Contents
Liang Sun, "Saturated Adaptive Output-Constrained Control of Cooperative Spacecraft Rendezvous and Docking," IEEE/CAA J. Autom. Sinica, vol. 6, no. 6, pp. 1462-1470, Nov. 2019. doi: 10.1109/JAS.2019.1911621
Citation: Liang Sun, "Saturated Adaptive Output-Constrained Control of Cooperative Spacecraft Rendezvous and Docking
," IEEE/CAA J. Autom. Sinica, vol. 6, no. 6, pp. 1462-1470, Nov. 2019. doi: 10.1109/JAS.2019.1911621

Saturated Adaptive Output-Constrained Control of Cooperative Spacecraft Rendezvous and Docking

doi: 10.1109/JAS.2019.1911621
Funds:  This work was supported in part by the National Natural Science Foundation of China (61903025), the Fundamental Research Funds for the Central Universities (FRF-GF-18-028B), and the China Scholarship Council (201906465028)
More Information
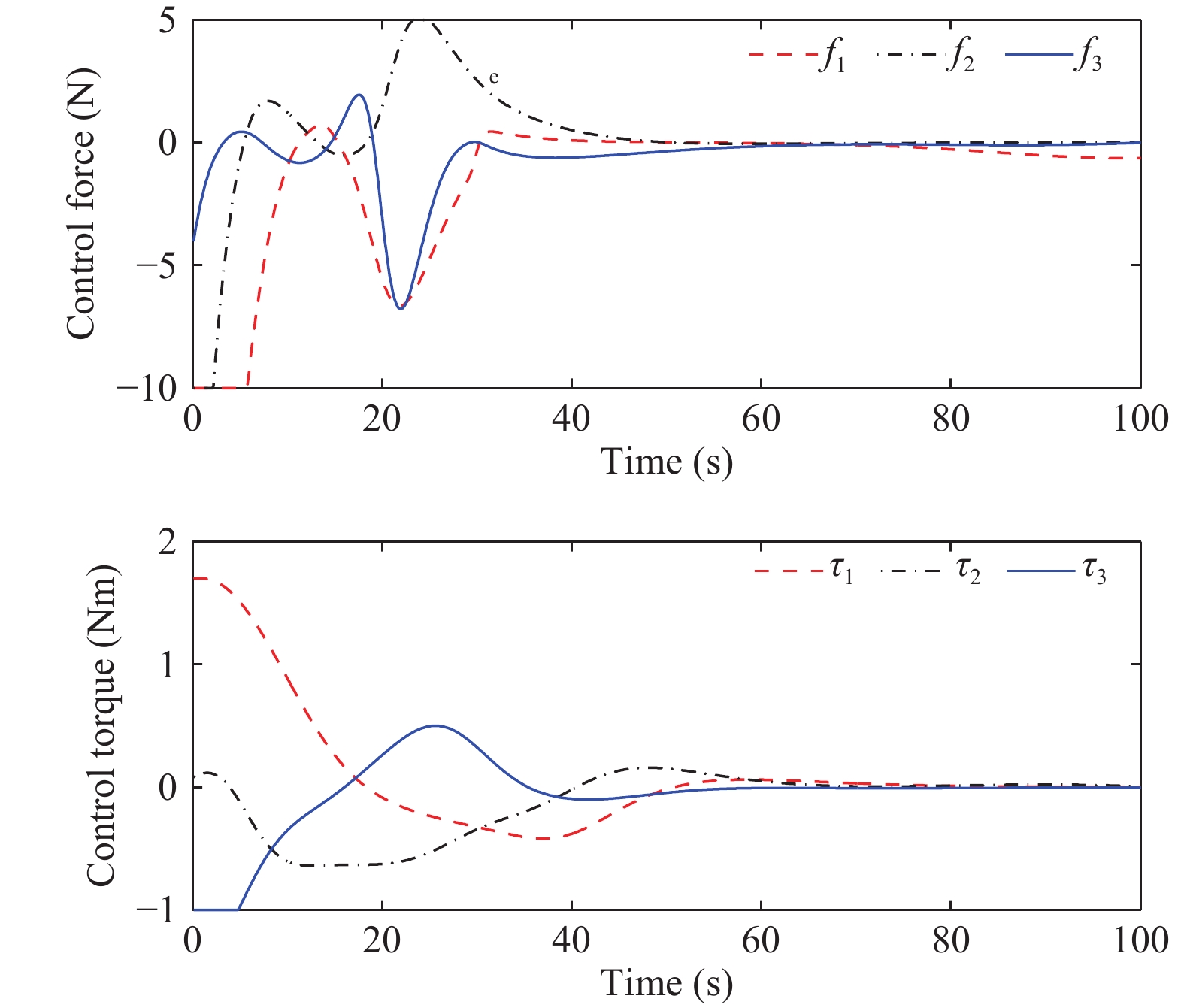
  • This paper investigates the robust relative pose control for spacecraft rendezvous and docking with constrained relative pose and saturated control inputs. A barrier Lyapunov function is used to ensure the constraints of states, so that the computational singularity of the inverse matrix in control command can be avoided, while a linear auxiliary system is introduced to handle with the adverse effect of actuator saturation. The tuning rules for designing parameters in control command and auxiliary system are derived based on the stability analysis of the closed-loop system. It is proved that all closed-loop signals always keep bounded, the prescribed constraints of relative pose tracking errors are never violated, and the pose tracking errors ultimately converge to small neighborhoods of zero. Simulation experiments validate the performance of the proposed robust saturated control strategy.

     

  • loading
  • [1]
    J. L. Goodman, " History of space shuttle rendezvous and proximity operations,” J. Spacecraft Rockets, vol. 43, no. 5, pp. 944–959, 2006. doi: 10.2514/1.19653
    [2]
    Y. Xie, H. Huang, H. Yong, and G. Zhang, " Applications of advanced control methods in spacecraft: progress, challenges, and future prospects,” Front. Infor. Technol. Electron. Eng., vol. 17, no. 9, pp. 2095–9184, 2016.
    [3]
    W. He, Y. Dong, and C. Sun, " Adaptive neural impedance control of a robotic manipulator with input saturation,” IEEE Trans. Syst. Man Cyber:Syst., vol. 46, no. 3, pp. 334–344, 2016. doi: 10.1109/TSMC.2015.2429555
    [4]
    L. Sun and Z. Zheng, " Disturbance observer-based robust saturated control for spacecraft proximity maneuvers,” IEEE Trans. Control Syst. Technol., vol. 26, no. 2, pp. 684–692, 2018. doi: 10.1109/TCST.2017.2669145
    [5]
    K. Xia and W. Huo, " Disturbance observer based fault-tolerant control for cooperative spacecraft rendezvous and docking with input saturation,” Nonlinear Dyn., vol. 88, no. 4, pp. 2735–2745, 2017. doi: 10.1007/s11071-017-3407-3
    [6]
    Q. Li, J. Yuan, B. Zhang, and C. Gao, " Model predictive control for autonomous rendezvous and docking with a tumbling target,” Aerosp. Sci. Technol., vol. 69, pp. 700–711, 2017. doi: 10.1016/j.ast.2017.07.022
    [7]
    H. Dong, Q. Hu, and M. R. Akella, " Safety control for spacecraft autonomous rendezvous and docking under motion constraints,” J. Guid. Control Dyn., vol. 40, no. 7, pp. 1680–1692, 2017. doi: 10.2514/1.G002322
    [8]
    K. P. Tee, S. S. Ge, and E. H. Tay, " Barrier Lyapunov functions for the control of output constrained nonlinear systems,” Automatica, vol. 45, no. 4, pp. 918–927, 2009. doi: 10.1016/j.automatica.2008.11.017
    [9]
    B. Ren, S. S. Ge, K. P. Tee, and T. H. Lee, " Adaptive control for parametric output feedback systems with output constraint,” in Proc. 48th IEEE Conf. Decision Control, Shanghai, China, 2009.
    [10]
    B. Niu and J. Zhao, " Barrier Lyapunov functions for the output tracking control of constrained nonlinear switched systems,” Syst. Control Lett., vol. 62, no. 10, pp. 963–971, 2013. doi: 10.1016/j.sysconle.2013.07.003
    [11]
    K. P. Tee, B. B. Ren, and S. S. Ge, " Control of nonlinear systems with time-varying output constraints,” Automatica, vol. 47, no. 11, pp. 2511–2516, 2011. doi: 10.1016/j.automatica.2011.08.044
    [12]
    X. Jin and J.-X. Xu, " Iterative learning control for output-constrained systems with both parametric and nonparametric uncertainties,” Automatica, vol. 49, no. 8, pp. 2508–2516, 2013. doi: 10.1016/j.automatica.2013.04.039
    [13]
    X. Jin, " Adaptive finite-time fault tolerant tracking control of a class of MIMO nonlinear systems with output constraints,” Int. J. Robust Nonlinear Control, vol. 27, no. 5, pp. 722–741, 2017. doi: 10.1002/rnc.3596
    [14]
    X. Jin, " Iterative learning control for output-constrained nonlinear systems with input quantization and actuator faults,” Int. J. Robust Nonlinear Control, vol. 28, no. 2, pp. 729–741, 2018. doi: 10.1002/rnc.v28.2
    [15]
    W. He, S. Zhang, and S. S. Ge, " Adaptive control of a flexible crane system with the boundary output constraint,” IEEE Trans. Ind. Electron., vol. 61, no. 8, pp. 4126–4133, 2014. doi: 10.1109/TIE.2013.2288200
    [16]
    W. He and S. S. Ge, " Vibration control of a flexible beam with output constraint,” IEEE Trans. Ind. Electron., vol. 62, no. 8, pp. 5023–5030, 2015. doi: 10.1109/TIE.2015.2400427
    [17]
    W. He and S. S. Ge, " Cooperative control of a nonuniform gantry crane with constrained tension,” Automatica, vol. 66, no. 4, pp. 146–154, 2016.
    [18]
    W. He, A. O. David, Z. Yin, and C. Sun, " Neural network control of a robotic manipulator with input deadzone and output constraint,” IEEE Trans. Syst. Man Cyber:Syst., vol. 46, no. 6, pp. 759–770, 2016. doi: 10.1109/TSMC.2015.2466194
    [19]
    W. He, B. Huang, Y. Dong, Z. Li, and C. Su, " Adaptive neural network control for robotic manipulators with unknown deadzone,” IEEE Trans. Cyber., vol. 48, no. 9, pp. 2670–2682, 2018. doi: 10.1109/TCYB.2017.2748418
    [20]
    X. Jin, " Nonrepetitive leader-follower formation tracking for multiagent systems with LOS range and gngle constraints using iterative learning control,” IEEE Trans. Cyber., DOI: 10.1109/TCYB.2018.2817610
    [21]
    X. Jin, " Fault tolerant finite-time leader-follower formation control for autonomous surface vessels with LOS range and angle constraintes,” Automatica, vol. 68, pp. 228–236, 2016. doi: 10.1016/j.automatica.2016.01.064
    [22]
    Z. Zheng, L. Sun, and L. Xie, " Error constrained LOS path following of a surface vessel with actuator saturation and faults,” IEEE Trans. Syst. Man Cyber.:Syst., vol. 48, no. 10, pp. 1794–1805, 2018. doi: 10.1109/TSMC.2017.2717850
    [23]
    Z. Zuo and C. Wang, " Adaptive trajectory tracking control of output constrained multi-rotors systems,” IET Control Theory Appl., vol. 8, no. 13, pp. 1163–1174, 2014. doi: 10.1049/iet-cta.2013.0949
    [24]
    B. Xu, Z. Shi, F. Sun, and W. He, " Barrier Lyapunov function based learning control of hypersonic flight vehicle with AOA constraint and actuator faults,” IEEE Trans. Cyber., DOI: 10.1109/TCYB.2018.2794972
    [25]
    L. Sun, W. Huo, and Z. Jiao, " Adaptive backstepping control of spacecraft rendezvous and proximity operations with input saturation and full-state constraint,” IEEE Trans. Ind. Electron., vol. 64, no. 1, pp. 480–492, 2017. doi: 10.1109/TIE.2016.2609399
    [26]
    H. Yoon and B. N. Agrawal, " Novel expressions of equations of relative motion and control in Keplerian orbits,” J. Guid. Control Dyn., vol. 32, no. 2, pp. 664–669, 2009. doi: 10.2514/1.38210
    [27]
    H. Schaub and J. L. Junkins, Analytical Mechanics of Space Systems, Reston: AIAA, 2003.
    [28]
    R. Kristiansen and P.J. Nicklasson, " Spacecraft formation flying: a review and new results on state feedback control,” Acta Astronautica, vol. 65, pp. 1537–1552, 2009. doi: 10.1016/j.actaastro.2009.04.014
    [29]
    A. H. J. De Ruiter and C. J. Damaren, " Effect of attitude parameterization on the perfermance of passivity-based adaptive attitude control,” in Proc. AIAA Guid., Nav. Control Conf. Exihib., Montreal, Canada, 2001, AIAA-2001-4154.
    [30]
    S. G. Kim, J. L. Crassidis, Y. Cheng, A. M. Fosbury, and J. L. Junkins, " Kalman filtering for relative spacecraft attitude and position estimation,” J. Guid. Control Dyn., vol. 30, no. 1, pp. 133–143, 2007. doi: 10.2514/1.22377
    [31]
    S. Segal, A. Carmi, and P. Gurfil, " Stereovision-based estimation of relative dynamics between noncooperative satellites: theory and experiments,” IEEE Trans. Control Syst. Technol., vol. 22, no. 2, pp. 568–584, 2014. doi: 10.1109/TCST.2013.2255288
    [32]
    L. Sun and W. Huo, " Robust adaptive control for spacecraft cooperative rendezvous and docking,” in Proc. IEEE 52nd Annual Conf. Decision Control, Firenze, Italy, pp. 5516–5521, 2013.
    [33]
    L. Sun, W. Huo, and Z. Jiao, " Robust nonlinear adaptive relative pose control for cooperative spacecraft during rendezvous and proximity operations,” IEEE Trans. Control Syst. Technol., vol. 25, no. 5, pp. 1840–1847, 2017. doi: 10.1109/TCST.2016.2618907
    [34]
    G. Vukovich and H. Gui, " Robust adaptive tracking of rigid-body motion with applications to asteroid proximity operations,” IEEE Trans. Aerosp. Electron. Syst., vol. 53, no. 1, pp. 419–430, 2017. doi: 10.1109/TAES.2017.2650778
    [35]
    G. P. Incremona, A. Ferrara, and L. Magni, " MPC for robot manipulators with integral sliding modes generation,” IEEE-ASME Trans. Mechatronics, vol. 22, no. 3, pp. 1299–1307, 2017. doi: 10.1109/TMECH.2017.2674701

Catalog

    通讯作者: 陈斌, bchen63@163.com
    • 1. 

      沈阳化工大学材料科学与工程学院 沈阳 110142

    1. 本站搜索
    2. 百度学术搜索
    3. 万方数据库搜索
    4. CNKI搜索

    Figures(11)

    Article Metrics

    Article views (1568) PDF downloads(63) Cited by()

    Highlights

    • A novel relative pose controller is proposed for cooperative rendezvous and docking.
    • Linear anti-windup compensator technique is employed to design saturated controller.
    • Barrier Lyapunov function-based constrained method is to avoid computational singularity.
    • Uniformly ultimately bounded stability is guaranteed under model uncertainties.

    /

    DownLoad:  Full-Size Img  PowerPoint
    Return
    Return