A journal of IEEE and CAA , publishes high-quality papers in English on original theoretical/experimental research and development in all areas of automation
Volume 6 Issue 2
Mar.  2019

IEEE/CAA Journal of Automatica Sinica

  • JCR Impact Factor: 19.2, Top 1 (SCI Q1)
    CiteScore: 28.2, Top 1% (Q1)
    Google Scholar h5-index: 95, TOP 5
Turn off MathJax
Article Contents
Mohammad Javad Morshed and Afef Fekih, "A Sliding Mode Approach to Enhance the Power Quality of Wind Turbines Under Unbalanced Voltage Conditions," IEEE/CAA J. Autom. Sinica, vol. 6, no. 2, pp. 566-574, Mar. 2019. doi: 10.1109/JAS.2019.1911414
Citation: Mohammad Javad Morshed and Afef Fekih, "A Sliding Mode Approach to Enhance the Power Quality of Wind Turbines Under Unbalanced Voltage Conditions," IEEE/CAA J. Autom. Sinica, vol. 6, no. 2, pp. 566-574, Mar. 2019. doi: 10.1109/JAS.2019.1911414

A Sliding Mode Approach to Enhance the Power Quality of Wind Turbines Under Unbalanced Voltage Conditions

doi: 10.1109/JAS.2019.1911414
More Information
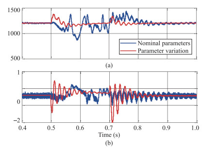
  • An integral terminal sliding mode-based control design is proposed in this paper to enhance the power quality of wind turbines under unbalanced voltage conditions. The design combines the robustness, fast response, and high quality transient characteristics of the integral terminal sliding mode control with the estimation properties of disturbance observers. The controller gains were auto-tuned using a fuzzy logic approach. The effectiveness of the proposed design was assessed under deep voltage sag conditions and parameter variations. Its dynamic response was also compared to that of a standard SMC approach. The performance analysis and simulation results confirmed the ability of the proposed approach to maintain the active power, currents, DC-link voltage and electromagnetic torque within their acceptable ranges even under the most severe unbalanced voltage conditions. It was also shown to be robust to uncertainties and parameter variations, while effectively mitigating chattering in comparison with the standard SMC.

     

  • loading
  • [1]
    T. Ackermann and P. E. Morthorst, "Economic aspects of wind power in power systems, " Wind Power in Power Systems, pp. 383, 2005. http://d.old.wanfangdata.com.cn/OAPaper/oai_doaj-articles_ed891447e17cc1785a2a89279c5d4ca1
    [2]
    M. Tsili and S. Papathanassiou, "A review of grid code technical requirements for wind farms, " IET Renewable Power Generation, vol. 3, no. 3, pp. 308-332, Sep. 2009. https://www.mendeley.com/catalogue/review-grid-code-technical-requirements-wind-farms/
    [3]
    "IEEE std. 519-2014: IEEE draft recommended practices and requirements for harmonic control in electric power systems, " IEEE P519/D6ba, September 2013 pp. 1-26, Nov 2013. https://ieeexplore.ieee.org/document/6630043?tp=&arnumber=6630043
    [4]
    J. Yao, H. Li, Z. Chen, X. Xia, X. Chen, Q. Li, and Y. Liao, "Enhanced control of a DFIG-based wind-power generation system with series grid-side converter under unbalanced grid voltage conditions, " IEEE Transactions on Power Electronics, vol. 28, no. 7, pp. 3167-3181, July 2013. https://ieeexplore.ieee.org/document/6308723
    [5]
    S. Seman, J. Niiranen, and A. Arkkio, "Ride-through analysis of doubly fed induction wind-power generator under unsymmetrical network disturbance, " IEEE Transactions on Power Systems, vol. 21, no. 4, pp. 1782-1789, Nov. 2006. https://www.mendeley.com/catalogue/ridethrough-analysis-doubly-fed-induction-windpower-generator-under-unsymmetrical-network-disturbanc/
    [6]
    S. Zhang, K. Tseng, S. S. Choi, T. D. Nguyen, and D. L. Yao, "Advanced control of series voltage compensation to enhance wind turbine ride through, " EEE Transactions on Power Electronics, vol. 27, no. 2, pp. 763-772, Feb 2012.
    [7]
    S. W. Mohod and M. V. Aware, "A STATCOM-control scheme for grid connected wind energy system for power quality improvement, " IEEE Systems Journal, vol. 4, no. 3, pp. 346-352, Sep. 2010. https://ieeexplore.ieee.org/document/5497071
    [8]
    M. Edrah, K. L. Lo, and O. Anaya-Lara, "Impacts of high penetration of DFIG wind turbines on rotor angle stability of power systems, " IEEE Transactions on Sustainable Energy, vol. 6, no. 3, pp. 759-766, July 2015. https://www.mendeley.com/catalogue/impacts-high-penetration-dfig-wind-turbines-rotor-angle-stability-power-systems/
    [9]
    C. Wessels, F. Gebhardt, and F. W. Fuchs, "Fault ride-through of a DFIG wind turbine using a dynamic voltage restorer during symmetrical and asymmetrical grid faults, " IEEE Transactions on Power Electronics, vol. 26, no. 3, pp. 807-815, March 2011. https://ieeexplore.ieee.org/document/5665777
    [10]
    Y. Zhou, P. Bauer, J. A. Ferreira, and J. Pierik, "Operation of grid- connected DFIG under unbalanced grid voltage condition, " IEEE Transactions on Energy Conversion, vol. 24, no. 1, pp. 240-246, March 2009. https://ieeexplore.ieee.org/document/4770180
    [11]
    B. Bandyopadhyay, S. Janardhanan, and S. K. Spurgeon, "Advances in sliding mode control, " Lecture Notes in Control and Information Sciences, vol. 440, 2013. http://link.springer.com/978-3-642-36986-5
    [12]
    N. Derbel, J. Ghommam, and Q. Zhu, Applications of Sliding Mode Control. Springer 2017, vol. 79.
    [13]
    M. T. Hamayun, C. Edwards, H. Alwi et al., Fault Tolerant Control Schemes Using Integral Sliding Modes, Springer 2016.
    [14]
    B. Beltran, T. Ahmed-Ali, and M. E. H. Benbouzid, "High-order sliding mode control of variable-speed wind turbines, " IEEE Transactions on Industrial electronics, vol. 56, no. 9, pp. 3314-3321, 2009. doi: 10.1109/TIE.2008.2006949
    [15]
    S. E. B. Elghali, M. E. H. Benbouzid, T. Ahmed-Ali, and J. F. Charpentier, "High-order sliding mode control of a marine current turbine driven doubly-fed induction generator, " IEEE Journal of Oceanic Engineering, vol. 35, no. 2, pp. 402-411, 2010. doi: 10.1109/JOE.2010.2040402
    [16]
    L. Xiong, J. Wang, X. Mi, and M. W Khan, "Fractional order sliding mode based direct power control of grid-connected DFIG, " IEEE Transactions on Power Systems, vol. 33, no. 3, pp. 3087-3096, 2018. http://ieeexplore.ieee.org/document/8063974/
    [17]
    N. Ullah, M. A. Ali, A. Ibeas, and J. Herrera, "Adaptive fractional order terminal sliding mode control of a doubly fed induction generator-based wind energy system, " IEEE Access, vol. 5, pp. 21368-21381, 2017. doi: 10.1109/ACCESS.2017.2759579
    [18]
    H. Amimeur, D. Aouzellag, R. Abdessemed, and K. Ghedamsi, "Sliding mode control of a dual-stator induction generator for wind energy conversion systems, " International Journal of Electrical Power & Energy Systems, vol. 42, no. 1, pp. 60-70, 2012. http://www.wanfangdata.com.cn/details/detail.do?_type=perio&id=6b02218f2a8aff4c4880eebcb1e017cb
    [19]
    R. Aghatehrani and R. Kavasseri, "Sensitivity-analysis-based sliding mode control for voltage regulation in microgrids, " IEEE Trans. Sustain. Energy, vol. 4, no. 1, pp. 50-57, 2013. doi: 10.1109/TSTE.2012.2197870
    [20]
    B. Chen, Y, Feng, and M. Zhou, "Terminal sliding-mode control scheme for grid-side PWM converter of DFIG-based wind power system, " in Proc. 39th Annual Conference of the IEEE Industrial Electronics Society, 2013, pp. 8014-8018.
    [21]
    C.-S. Chiu, "Derivative and integral terminal sliding mode control for a class of MIMO nonlinear systems, " Automatica, vol. 48, no. 2, pp. 316-326, 2012. doi: 10.1016/j.automatica.2011.08.055
    [22]
    M. J. Morshed and A. Fekih, "Integral terminal sliding mode control to provide fault ride-through capability to a grid connected wind turbine driven DFIG, " in Proc. IEEE International Conference on Industrial Technology, 2015, pp. 1059-1064.
    [23]
    M. J. Morshed and A. Fekih, "A comparison study between two sliding mode based controls for voltage sag mitigation in grid connected wind turbines, " in Proc. IEEE Conference on Control Applications, 2015, pp. 1913-1918.
    [24]
    A. Abdou, A. Abu-Siada, and H. Pota, "Impact of vsc faults on dynamic performance and low voltage ride through of DFIG, " International Journal of Electrical Power & Energy Systems, vol. 65, pp. 334-347, 2015. http://www.wanfangdata.com.cn/details/detail.do?_type=perio&id=544fdcb7a23ac33d2b86e73d59f68e56
    [25]
    W.-H. Chen, J. Yang, L. Guo, and S. Li, "Disturbance-observer-based control and related methodsan overview, " IEEE Transactions on Industrial Electronics, vol. 63, no. 2, pp. 1083-1095, 2016. doi: 10.1109/TIE.2015.2478397
    [26]
    L. Qiao and W. Zhang, "Adaptive non-singular integral terminal sliding mode tracking control for autonomous underwater vehicles, " IET Control Theory #38; Applications, vol. 11, no. 8, pp. 1293-1306, 2017. http://www.wanfangdata.com.cn/details/detail.do?_type=perio&id=4e2948c498b9db5b0e79a891f074f43e
    [27]
    F.-J. Lin, Y.-C. Hung, and K.-C. Ruan, "An intelligent second-order sliding-mode control for an electric power steering system using a wavelet fuzzy neural network, " IEEE Trans. Fuzzy Systems, vol. 22, no. 6, pp. 1598-1611, 2014. doi: 10.1109/TFUZZ.2014.2300168
    [28]
    V. I. Utkin and A. S. Poznyak, "Adaptive sliding mode control with application to super-twist algorithm: Equivalent control method, " Automatica, vol. 49, no. 1, pp. 39-47, 2013. doi: 10.1016/j.automatica.2012.09.008
    [29]
    Y. Wang, L. Gu, Y. Xu, and X. Cao, "Practical tracking control of robot manipulators with continuous fractional-order nonsingular terminal sliding mode, " IEEE Transactions on Industrial Electronics, vol. 63, no. 10, pp. 6194-6204, 2016. doi: 10.1109/TIE.2016.2569454
    [30]
    Z. Galias and X. Yu, "Dynamical behaviors of discretized second-order terminal sliding-mode control systems, " IEEE Transactions on Circuits and Systems Ⅱ: Express Briefs, vol. 59, no. 9, pp. 597-601, 2012. doi: 10.1109/TCSII.2012.2206930
    [31]
    M. J. Morshed and A. Fekih, "A fault-tolerant control paradigm for microgrid-connected wind energy systems, " IEEE Systems Journal, vol. 12, no. 1, pp. 360-372, 2018. doi: 10.1109/JSYST.2016.2531718
    [32]
    S. Nasiri and H. Seifi, "Robust probabilistic optimal voltage sag monitoring in presence of uncertainties, " ET Generation, Transmission & Distribution, vol. 10, no. 16, pp. 4240-4248, 2016. http://www.wanfangdata.com.cn/details/detail.do?_type=perio&id=b1d53ae35bd222009f453009e0a8960a
    [33]
    A. D. Hansen and G. Michalke, "Fault ride-through capability of DFIG wind turbines, " Renewable energy, vol. 32, no. 9, pp. 1594-1610, 2007. doi: 10.1016/j.renene.2006.10.008
    [34]
    P.-H. Huang, M. S. El Moursi, and S. A. Hasen, "Novel fault ride-through scheme and control strategy for doubly fed induction generator-based wind turbine, " IEEE Transactions on Energy Conversion, vol. 30, no. 2, pp. 635-645, 2015. doi: 10.1109/TEC.2014.2367113
    [35]
    E. Bounadja, A. Djahbar, and Z. Boudjema, "Variable structure control of a doubly fed induction generator for wind energy conversion systems, " Energy Procedia, vol. 50, pp. 999-1007, 2014. doi: 10.1016/j.egypro.2014.06.119
    [36]
    Z. Zhang, H. Zhang, Z. Wang, and Q. Shan, "Non-fragile exponential h-infinity control for a class of nonlinear networked control systems with short time-varying delay via output feedback controller, " IEEE transactions on cybernetics, vol. 47, no. 8, pp. 2008-2019, 2017.

Catalog

    通讯作者: 陈斌, bchen63@163.com
    • 1. 

      沈阳化工大学材料科学与工程学院 沈阳 110142

    1. 本站搜索
    2. 百度学术搜索
    3. 万方数据库搜索
    4. CNKI搜索

    Figures(13)  / Tables(3)

    Article Metrics

    Article views (1942) PDF downloads(70) Cited by()

    /

    DownLoad:  Full-Size Img  PowerPoint
    Return
    Return