A journal of IEEE and CAA , publishes high-quality papers in English on original theoretical/experimental research and development in all areas of automation
Volume 5 Issue 2
Mar.  2018

IEEE/CAA Journal of Automatica Sinica

  • JCR Impact Factor: 19.2, Top 1 (SCI Q1)
    CiteScore: 28.2, Top 1% (Q1)
    Google Scholar h5-index: 95, TOP 5
Turn off MathJax
Article Contents
Xinyi Yu, Xuejinfeng Hong, Jun Qi, Linlin Ou and Yanlin He, "Research on the Low-order Control Strategy of the Power System With Time Delay," IEEE/CAA J. Autom. Sinica, vol. 5, no. 2, pp. 501-508, Mar. 2018. doi: 10.1109/JAS.2017.7510835
Citation: Xinyi Yu, Xuejinfeng Hong, Jun Qi, Linlin Ou and Yanlin He, "Research on the Low-order Control Strategy of the Power System With Time Delay," IEEE/CAA J. Autom. Sinica, vol. 5, no. 2, pp. 501-508, Mar. 2018. doi: 10.1109/JAS.2017.7510835

Research on the Low-order Control Strategy of the Power System With Time Delay

doi: 10.1109/JAS.2017.7510835
Funds:

the National Natural Science Foundation of China 61273116

the National Natural Science Foundation of China 51407160

the National High Technology Research and Development Program of China (863 Program) 2014AA041601-05

the National Science Funds of Zhejiang Province LY15F03

the Public Welfare Project of Zhejiang Province 2016C31064

the Key Programs of Ningbo Science and Technology Project 2014B10017

More Information
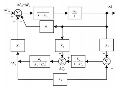
  • In this paper, the design problem of the low-order controller is considered for the power system with a fixed time delay. A linear model of the power system with time delay is firstly established. Then the proportional-integral-differential (PID) controller, which is the typical low-order controller, is designed to improve the stability of the power system. The stabilizing region of the PID controller is obtained. The control parameters chosen arbitrarily in the resultant region can ensure the stability of the power system. Finally, based on the stabilizing result, the PID controller satisfying the H performance index is designed, which improves the robustness of the whole power system. The main advantage of the proposed method lies in that there is no need to approximate the model of the power system. The method can be further extended to the power system which is more complex.

     

  • loading
  • [1]
    Q. Y. Jiang, Z. Y. Zou, Y. J. Cao, and Z. X. Han, "Overview of power system stability analysis and wide-area control in consideration of time delay, " Autom. Electr. Power Syst. , vol. 29, no. 3, pp. 1-7, Feb. 2005. http://en.cnki.com.cn/Article_en/CJFDTOTAL-DLXT200503001.htm
    [2]
    F. Milano and M. Anghel, "Impact of time delays on power system stability, " IEEE Trans. Circuits Syst. I, vol. 59, no. 4, pp. 889-900, Apr. 2012. http://ieeexplore.ieee.org/document/6062658/
    [3]
    B. Yang, L. Wei, Z. Zhan, and J. Qi, "Analysis on the characteristics of communication delay in wide area measuring system based on probability distribution, " Autom. Electr. Power Syst. , vol. 39, no. 12, pp. 38-43, Jun. 2015. http://www.researchgate.net/publication/282177083_Analysis_on_the_characteristics_of_communication_delay_in_wide_area_measuring_system_based_on_probability_distribution
    [4]
    N. C. Chang, Z. Lan, D. Q. Gan, and Y. X. Ni, "A survey on applications of wide-area measurement system in power system analysis and control, " Power Syst. Technol. , vol. 29, no. 10, pp. 46-52, May 2005. http://en.cnki.com.cn/Article_en/CJFDTOTAL-DWJS200510010.htm
    [5]
    J. Qi, "Time delay damping control of low frequency oscillation in power systems based on WAMs, " Ph. D. dissertation, Zhejiang University, Hangzhou, China, 2009.
    [6]
    H. X. Wu, H. Ni, and G. T. Heydt, "The impact of time delay on robust control design in power systems, " in Proc. IEEE Power Engineering Society Winter Meeting, New York, NY, USA, vol. 2, pp. 1511-1516, 2002. http://ieeexplore.ieee.org/xpls/icp.jsp?arnumber=985276
    [7]
    B. Chaudhuri, R. Majumder, and B. C. Pal, "Wide-area measurement-based stabilizing control of power system considering signal transmission delay, " IEEE Trans. Power Syst. , vol. 19, no. 4, pp. 1971-1979, Nov. 2004. http://ieeexplore.ieee.org/document/1350837/
    [8]
    J. Qi, Q. Y. Jiang, and Y. J. Cao, "Design of damping controller for inter-area low-frequency oscillation using time-delay wide-area measurements, " Trans. China Electrotech. Soc. , vol. 24, no. 6, pp. 154-159, Jun. 2009. http://en.cnki.com.cn/article_en/cjfdtotal-dgjs200906024.htm
    [9]
    Z. Y. Zhang, Z. J. Hu, and Y. K. Liu, "Additional robust damping control of large scale DFIG-based wind power generation system with wide-area signals' time-varying delay influence, " Trans. China Electrotech. Soc. , vol. 29, no. 4, pp. 246-255, Apr. 2014. http://www.ces-transaction.com/EN/Y2014/V29/I4/246
    [10]
    Z. Fang, C. Lin, L. Xiong, Y. Z. Sun, and G. Chen, "Prediction based on hierarchical compensation for delays of wide-area closed-loop control systems, " Proc. CSEE, vol. 34, no. 19, pp. 3194-3201, Jul. 2014. http://www.wanfangdata.com.cn/details/detail.do?_type=perio&id=zgdjgcxb201419048
    [11]
    Y. H. Liu, X. Li, Z. X. Liu, Y. Z. Sun, and Q. L. Zhou, "A compensation design for wide-area power system stabilizer distributed time delay based on grey prediction, " Autom. Electr. Power Syst. , vol. 39, no. 12, pp. 44-49, Jun. 2015. http://www.en.cnki.com.cn/Article_en/CJFDTOTAL-DLXT201512008.htm
    [12]
    M. E. Aboul-Ela, A. A. Sallam, J. D. McCalley, and A. A. Fouad, "Damping controller design for power system oscillations using global signals, " IEEE Trans. Power Syst. , vol. 11, no. 2, pp. 767-773, May 1996. http://ci.nii.ac.jp/naid/80008999351/
    [13]
    J. Qi, Q. Y. Jiang, G. Z. Wang, and Y. J. Cao, "Wide-area time-delay robust damping control for power system, " Eur. Trans. Electr. Power, vol. 19, no. 7, pp. 899-910, Oct. 2009. doi: 10.1002/etep.269/full
    [14]
    H. Gulizhati and J. Wang, "Wide-area time-delay damping control of generalized Hamilton multi-machine power system, " Proc. CSEE, vol. 34, no. 34, pp. 6199-6208, Dec. 2014. http://www.en.cnki.com.cn/Article_en/CJFDTOTAL-ZGDC201434023.htm
    [15]
    S. B. Wang, X. Y. Meng, and T. W. Chen, "Wide-area control of power systems through delayed network communication, " IEEE Trans. Control Syst. Technol. , vol. 20, no. 2, pp. 495-503, Mar. 2012. http://ieeexplore.ieee.org/document/5728885/
    [16]
    L. L. Ou, W. D. Zhang, and L. Yu, "Low-order stabilization of LTI systems with time delay, " IEEE Trans. Autom. Control, vol. 54, no. 4, pp. 774-787, Apr. 2009. http://ieeexplore.ieee.org/document/4806173/
    [17]
    L. L. Ou, "Research on stabilization and design of low-order controllers for linear systems with time delay, " Ph. D. dissertation, Shanghai Jiao Tong University, Shanghai, China, 2006.
    [18]
    K. J. Astrom, C. C. Hang, and B. C. Lim, "A new Smith predictor for controlling a process with an integrator and long dead-time, " IEEE Trans. Autom. Control, vol. 39, no. 2, pp. 343-345, Feb. 1994. http://ieeexplore.ieee.org/xpls/abs_all.jsp?arnumber=272329
    [19]
    D. E. Rivera, M. Morari, and S. Skogestad, "Internal model control: PID controller design, " Ind. Eng. Chem. Process Des. Dev. , vol. 25, no. 1, pp. 252-265, Jan. 1986. doi: 10.1021/i200032a041
    [20]
    W. K. Ho, C. C. Hang, and L. S. Cao, "Tuning of PID controllers based on gain and phase margin specification, " Automatica, vol. 31, no. 3, pp. 497-502, Mar. 1995. http://www.sciencedirect.com/science/article/pii/000510989400130B
    [21]
    L. L. Ou, D. Y. Gu, and W. D. Zhang, "Optimal tuning method of PID controller based on gain margin and phase margin, " Control Theory Appl. , vol. 24, no. 5, pp. 837-840, Oct. 2007. http://en.cnki.com.cn/Article_en/CJFDTOTAL-KZLY200705027.htm
    [22]
    R. Toscano, "A simple robust PI/PID controller design via numerical optimization approach, " J. Process Control, vol. 15, no. 1, pp. 81-88, Feb. 2005. http://www.sciencedirect.com/science/article/pii/S0959152404000368
    [23]
    N. Tan, "Computation of stabilizing PI and PID controllers for processes with time delay, " ISA Trans. , vol. 44, no. 2, pp. 213-223, Apr. 2005. http://www.ncbi.nlm.nih.gov/pubmed/15868860
    [24]
    L. H. Keel and S. P. Bhattacharyya, "Controller synthesis free of analytical models: Three term controllers, " IEEE Trans. Autom. Control, vol. 53, no. 6, pp. 1353-1369, Jul. 2008. http://ieeexplore.ieee.org/document/4610025/
    [25]
    N. Hohenbichler, "All stabilizing PID controllers for time delay systems, " Automatica, vol. 45, no. 11, pp. 2678-2684, Nov. 2009. http://www.sciencedirect.com/science/article/pii/S0005109809004014
    [26]
    Z. P. Zeng, Z. Q. Chen, and Z. Z. Yuan, "A method to determine the admissible set of PID controller parameters with robust performance, " Control Decis. , vol. 20, no. 4, pp. 382-387, Apr. 2005. http://en.cnki.com.cn/article_en/cjfdtotal-kzyc200504005.htm
    [27]
    G. J. Silva, A. Datta, and S. P. Bhattacharyya, "PI stabilization of first-order systems with time delay, " Automatica, vol. 37, no. 12, pp. 2025-2031, Dec. 2001. doi: 10.1007/0-8176-4423-7_7
    [28]
    G. J. Silva, A. Datta, and S. P. Bhattacharyya, "New results on the synthesis of PID controllers, " IEEE Trans. Autom. Control, vol. 47, no. 2, pp. 241-252, Feb. 2002. http://ieeexplore.ieee.org/xpls/icp.jsp?arnumber=983352
    [29]
    G. Martelli, "Comments on "new results on the synthesis of PID controllers", " IEEE Trans. Autom. Control, vol. 50, no. 9, pp. 1468-1469, Sep. 2005. http://ieeexplore.ieee.org/document/1506965/
    [30]
    Y. X. Ni, S. S. Chen, and B. L. Zhang, Theory and Analysis of Dynamic Power System. Beijing, China: Tsinghua University Press Co., Ltd, 2002.
    [31]
    H. M. Yang, F. Li, and G. M. Liu, "Study on damping ratio of low frequency power oscillations in large power network, " Sci. Technol. Innov. Her. , no. 36, pp. 100, 102, 2008.
    [32]
    W. Yao, L. Jiang, J. Y. Wen, Q. H. Wu, and S. J. Cheng, "Wide-area damping controller of FACTS devices for inter-area oscillations considering communication time delays, " IEEE Trans. Power Syst. , vol. 29, no. 1, pp. 318-329, Jan. 2014. http://ieeexplore.ieee.org/document/6601724/
    [33]
    L. L. Ou, P. D. Zhou, W. D. Zhang, and L. Yu, "H robust design of PID controllers for arbitrary-order LTI systems with time delay, " in Proc. 50th IEEE Conference on Decision and Control and European Control Conference, Orlando, FL, USA, 2011, pp. 1884-1889. doi: 10.1109%2fCDC.2011.6160745

Catalog

    通讯作者: 陈斌, bchen63@163.com
    • 1. 

      沈阳化工大学材料科学与工程学院 沈阳 110142

    1. 本站搜索
    2. 百度学术搜索
    3. 万方数据库搜索
    4. CNKI搜索

    Figures(13)  / Tables(1)

    Article Metrics

    Article views (2039) PDF downloads(73) Cited by()

    /

    DownLoad:  Full-Size Img  PowerPoint
    Return
    Return