A journal of IEEE and CAA , publishes high-quality papers in English on original theoretical/experimental research and development in all areas of automation
Volume 4 Issue 2
Apr.  2017

IEEE/CAA Journal of Automatica Sinica

  • JCR Impact Factor: 19.2, Top 1 (SCI Q1)
    CiteScore: 28.2, Top 1% (Q1)
    Google Scholar h5-index: 95, TOP 5
Turn off MathJax
Article Contents
Yufei Tang, Chao Luo, Jun Yang and Haibo He, "A Chance Constrained Optimal Reserve Scheduling Approach for Economic Dispatch Considering Wind Penetration," IEEE/CAA J. Autom. Sinica, vol. 4, no. 2, pp. 186-194, Apr. 2017. doi: 10.1109/JAS.2017.7510499
Citation: Yufei Tang, Chao Luo, Jun Yang and Haibo He, "A Chance Constrained Optimal Reserve Scheduling Approach for Economic Dispatch Considering Wind Penetration," IEEE/CAA J. Autom. Sinica, vol. 4, no. 2, pp. 186-194, Apr. 2017. doi: 10.1109/JAS.2017.7510499

A Chance Constrained Optimal Reserve Scheduling Approach for Economic Dispatch Considering Wind Penetration

doi: 10.1109/JAS.2017.7510499
Funds:

This work was supported in part by the National Science Foundation ECCS 1053717

This work was supported in part by the National Science Foundation CNS 1117314

the National Science Foundation of China 51529701

the National Science Foundation of China 51277135

More Information
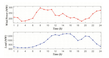
  • The volatile wind power generation brings a full spectrum of problems to power system operation and management, ranging from transient system frequency fluctuation to steady state supply and demand balancing issue. In this paper, a novel wind integrated power system day-ahead economic dispatch model, with the consideration of generation and reserve cost is modelled and investigated. The proposed problem is first formulated as a chance constrained stochastic nonlinear programming (CCSNLP), and then transformed into a deterministic nonlinear programming (NLP). To tackle this NLP problem, a three-stage framework consists of particle swarm optimization (PSO), sequential quadratic programming (SQP) and Monte Carlo simulation (MCS) is proposed. The PSO is employed to heuristically search the line power flow limits, which are used by the SQP as constraints to solve the NLP problem. Then the solution from SQP is verified on benchmark system by using MCS. Finally, the verified results are feedback to the PSO as fitness value to update the particles. Simulation study on IEEE 30-bus system with wind power penetration is carried out, and the results demonstrate that the proposed dispatch model could be effectively solved by the proposed three-stage approach.

     

  • loading
  • [1]
    M. Shahidehpour, H. Yamin, and Z. Y. Li, Market Operations in Electric Power Systems: Forecasting, Scheduling, and Risk Management. New York: John Wiley & Sons, Inc., 2002.
    [2]
    Y. F. Tang, J. Yang, J. Yan, and H. B. He, "Intelligent load frequency controller using GrADP for island smart grid with electric vehicles and renewable resources, " Neurocomputing, vol. 170, pp. 406-416, Dec. 2015.
    [3]
    J. Wang, M. Shahidehpour, and Z. Li, "Contingency-constrained reserve requirements in joint energy and ancillary services auction, " IEEE Trans. Power Syst. , vol. 24, no. 3, pp. 1457-1468, Aug. 2009.
    [4]
    F. Blaabjerg, R. Teodorescu, M. Liserre, and A. V. Timbus, "Overview of control and grid synchronization for distributed power generation systems, " IEEE Trans. Ind. Electron. , vol. 53, no. 5, pp. 1398-1409, Oct. 2006.
    [5]
    D. Gautam, V. Vittal, and T. Harbour, "Impact of increased penetration of DFIG-based wind turbine generators on transient and small signal stability of power systems, " IEEE Trans. Power Syst. vol. 24, no. 3, pp. 1426-1434, Aug. 2009.
    [6]
    Y. F. Tang, H. B. He, Z. Ni, J. Y. Wen, and X. C. Sui, "Reactive power control of grid-connected wind farm based on adaptive dynamic programming, " Neurocomputing, vol. 125, pp. 125-133, Feb. 2014.
    [7]
    Y. F. Tang, H. B. He, J. Y. Wen, and J. Liu, "Power system stability control for a wind farm based on adaptive dynamic programming, " IEEE Trans. Smart Grid, vol. 6, no. 1, pp. 166-177, Jan. 2015.
    [8]
    Y. Tang, H. He, Z. Ni, J. Wen, and T. Huang, "Adaptive modulation for DFIG and STATCOM with high-voltage direct current transmission, " IEEE Trans. Neural Netw. Learn. Syst. , vol. 27, no. 8, pp. 1762-1772, Aug. 2016.
    [9]
    C. Huang, F. X. Li, T. Ding, Z. Q. Jin, and X. Ma, "Second-order cone programming-based optimal control strategy for wind energy conversion systems over complete operating regions, " IEEE Trans. Sustain. Energy, vol. 6, no. 1, pp. 263-271, Jan. 2015.
    [10]
    J. Yang, X. Feng, Y. F. Tang, J. Yan, H. B. He, and C. Luo, "A power system optimal dispatch strategy considering the flow of carbon emissions and large consumers, " Energies, vol. 8, no. 9, pp. 9087-9106, Aug. 2015.
    [11]
    Q. L. Wei, D. R. Liu, and G. Shi, "A novel dual iterative Q-learning method for optimal battery management in smart residential environments, " IEEE Trans. Ind. Electron. , vol. 62, no. 4, pp. 2509-2518, Apr. 2015.
    [12]
    Q. L. Wei, D. R. Liu, G. Shi, and Y. Liu, "Multibattery optimal coordination control for home energy management systems via distributed iterative adaptive dynamic programming, " IEEE Trans. Ind. Electron. , vol. 62, no. 7, pp. 4203-4214, Jul. 2015.
    [13]
    Y. F. Tang, H. B. He, Z. Ni, X. N. Zong, D. B. Zhao, and X. Xu, "Fuzzy-based goal representation adaptive dynamic programming, " IEEE Trans. Fuzzy Syst. , vol. 24, no. 5, pp. 1159-1175, Oct. 2016.
    [14]
    C. Huang, F. X. Li, T. Ding, Z. Q. Jin, and X. Ma, "Second-order cone programming-based optimal control strategy for wind energy conversion systems over complete operating regions, " IEEE Trans. Sustain. Energy, vol. 6, no. 1, pp. 263-271, Jan. 2015.
    [15]
    C. Huang, F. X. Li, and Z. Q. Jin, "Maximum power point tracking strategy for large-scale wind generation systems considering wind turbine dynamics, " IEEE Trans. Ind. Electron. , vol. 62, no. 4, pp. 2530-2539, Apr. 2015.
    [16]
    H. Y. Wu, M. Shahidehpour, Z. Y. Li, and W. Tian, "Chance-constrained day-ahead scheduling in stochastic power system operation, " IEEE Trans. Power Syst. , vol. 29, no. 4, pp. 1583-1591, Jul. 2014.
    [17]
    H. P. Li, C. Z. Zang, P. Zeng, H. B. Yu, and Z. W. Li, "A stochastic programming strategy in microgrid cyber physical energy system for energy optimal operation, " IEEE/CAA J. Automat. Sinica, vol. 2, no. 3, pp. 296-303, Jul. 2015.
    [18]
    N. Zhang, C. Q. Kang, Q. Xia, Y. Ding, Y. H. Huang, R. F. Sun, J. H. Huang, and J. H. Bai, "A convex model of risk-based unit commitment for day-ahead market clearing considering wind power uncertainty, " IEEE Trans. Power Syst., vol.30, no.3, pp.1582-1592, May2015. doi: 10.1109/TPWRS.2014.2357816
    [19]
    T. Ding, R. Bo, F. X. Li, and H. B. Sun, "A bi-level branch and bound method for economic dispatch with disjoint prohibited zones considering network losses, " IEEE Trans. Power Syst. , vol. 30, no. 6, pp. 2841-2855, Nov. 2015.
    [20]
    F. Bouffard and F. D. Galiana, "Stochastic security for operations planning with significant wind power generation, " IEEE Trans. Power Syst., vol.23, no.2, pp.306-316, May2008. doi: 10.1109/TPWRS.2008.919318
    [21]
    J. M. Morales, A. J. Conejo, and J. Perez-Ruiz, "Economic valuation of reserves in power systems with high penetration of wind power, " IEEE Trans. Power Syst., vol.24, no.2, pp.900-910, May2009. doi: 10.1109/TPWRS.2009.2016598
    [22]
    N. G. Paterakis, O. Erdinc, A. G. Bakirtzis, and J. P. S. Catalao, "Load-following reserves procurement considering flexible demand-side resources under high wind power penetration, " IEEE Trans. Power Syst., vol.30, no.3, pp.1337-1350, May2015. doi: 10.1109/TPWRS.2014.2347242
    [23]
    C. Sahin, M. Shahidehpour, and I. Erkmen, "Allocation of hourly reserve versus demand response for security-constrained scheduling of stochastic wind energy, " IEEE Trans. Sustain. Energy, vol. 4, no. 1, pp. 219-228, Jan. 2013.
    [24]
    Q. Y. Xu, N. Zhang, C. Q. Kang, Q. Xia, D. W. He, C. Liu, Y. H. Huang, L. Cheng, and J. H. Bai, "A game theoretical pricing mechanism for multi-area spinning reserve trading considering wind power uncertainty, " IEEE Trans. Power Syst. , vol. 31, no. 2, pp. 1084-1095, Mar. 2016.
    [25]
    A. Papavasiliou, S. S. Oren, and R. P. O'Neill, "Reserve requirements for wind power integration: a scenario-based stochastic programming framework, " IEEE Trans. Power Syst. , vol. 26, no. 4, pp. 2197-2206, Nov. 2011.
    [26]
    M. Vrakopoulou, K. Margellos, J. Lygeros, and G. Andersson, "A probabilistic framework for reserve scheduling and N-1 security assessment of systems with high wind power penetration, " IEEE Trans. Power Syst. , vol. 28, no. 4, pp. 3885-3896, Nov. 2013.
    [27]
    H. B. He and E. A. Garcia, "Learning from imbalanced data, " IEEE Trans. Knowl. Data Eng. , vol. 21, no. 9, pp. 1263-1284, Sep. 2009.
    [28]
    P. Kundur, Power System Stability and Control. New York, USA: McGraw-Hill, 1994.
    [29]
    D. S. Kirschen and G. Strbac, Fundamentals of Power System Economics. Chichester, UK: Wiley, 2004.
    [30]
    C. Luo, J. Yang, Y. Z. Sun, F. Lin, and M. J. Cui, "Dynamic economic dispatch of wind integrated power system considering optimal scheduling of reserve capacity, " Proc. CSEE, vol. 34, no. 34, pp. 6109-6118, Dec. 2014.
    [31]
    X. Chen, Z. Y. Dong, K. Meng, Y. Xu, K. P. Wong, and H. W. Ngan, "Electricity price forecasting with extreme learning machine and bootstrapping, " IEEE Trans. Power Syst. , vol. 27, no. 4, pp. 2055-2062, Nov. 2012.
    [32]
    J. Shi, W. J. Lee, Y. Q. Liu, Y. P. Yang, and P. Wang, "Forecasting power output of photovoltaic systems based on weather classification and support vector machines, " IEEE Trans. Ind. Appl. vol. 48, no. 3, pp. 1064-1069, May-Jun. 2012.
    [33]
    H. Wen, Z. S. Teng, Y. Wang, and X. G. Hu, "Spectral correction approach based on desirable sidelobe window for harmonic analysis of industrial power system, " IEEE Trans. Ind. Electron. , vol. 60, no. 3, pp. 1001-1010, Mar. 2013.
    [34]
    J. Kennedy and R. Eberhart, "Particle swarm optimization, " in Proc. IEEE Int. Conf. Neural Networks, Perth, WA, Australia, 1995, pp. 1942-1948.
    [35]
    Y. Tang, H. He, and J. Wen, "Optimized control of DFIG based wind generation using swarm intelligence, " in Proc. 2013 IEEE Power and Energy Society General Meeting (PES), Vancouver, BC, Canada, 2013, pp. 1-5.
    [36]
    H. B. Duan, P. Li, and Y. X. Yu, "A predator-prey particle swarm optimization approach to multiple UCAV air combat modeled by dynamic game theory, " IEEE/CAA J. Automat. Sinica, vol. 2, no. 1, pp. 11-18, Jan. 2015.
    [37]
    Y. F. Tang, P. Ju, H. B. He, C. Qin, and F. Wu, "Optimized control of DFIG-based wind generation using sensitivity analysis and particle swarm optimization, " IEEE Trans. Smart Grid, vol. 4, no. 1, pp. 509-520, Mar. 2013.
    [38]
    X. C. Sui, Y. F. Tang, H. B. He, and J. Y. Wen, "Energy-storage-based low-frequency oscillation damping control using particle swarm optimization and heuristic dynamic programming, " IEEE Trans. Power Syst. , vol. 29, no. 5, pp. 2539-2548, Sep. 2014.
    [39]
    G. K. Venayagamoorthy, R. K. Sharma, P. K. Gautam, and A. Ahmadi, "Dynamic energy management system for a smart microgrid, " IEEE Trans. Neural Netw. Learn. Syst. , vol. 27, no. 8, pp. 1643-1656, Aug. 2016.
    [40]
    D. P. Bertsekas, Nonlinear Programming (Second edition). Belmount, Mass: Athena Scientific, 1999.

Catalog

    通讯作者: 陈斌, bchen63@163.com
    • 1. 

      沈阳化工大学材料科学与工程学院 沈阳 110142

    1. 本站搜索
    2. 百度学术搜索
    3. 万方数据库搜索
    4. CNKI搜索

    Figures(8)  / Tables(4)

    Article Metrics

    Article views (2065) PDF downloads(264) Cited by()

    /

    DownLoad:  Full-Size Img  PowerPoint
    Return
    Return