A journal of IEEE and CAA , publishes high-quality papers in English on original theoretical/experimental research and development in all areas of automation

Vol. 9,  No. 5, 2022

Display Method:
REVIEWS
Knowledge Learning With Crowdsourcing: A Brief Review and Systematic Perspective
Jing Zhang
2022, 9(5): 749-762. doi: 10.1109/JAS.2022.105434
Abstract(2685) HTML (158) PDF(174)
Abstract:
Big data have the characteristics of enormous volume, high velocity, diversity, value-sparsity, and uncertainty, which lead the knowledge learning from them full of challenges. With the emergence of crowdsourcing, versatile information can be obtained on-demand so that the wisdom of crowds is easily involved to facilitate the knowledge learning process. During the past thirteen years, researchers in the AI community made great efforts to remove the obstacles in the field of learning from crowds. This concentrated survey paper comprehensively reviews the technical progress in crowdsourcing learning from a systematic perspective that includes three dimensions of data, models, and learning processes. In addition to reviewing existing important work, the paper places a particular emphasis on providing some promising blueprints on each dimension as well as discussing the lessons learned from our past research work, which will light up the way for new researchers and encourage them to pursue new contributions.
Cooperative and Competitive Multi-Agent Systems: From Optimization to Games
Jianrui Wang, Yitian Hong, Jiali Wang, Jiapeng Xu, Yang Tang, Qing-Long Han, Jürgen Kurths
2022, 9(5): 763-783. doi: 10.1109/JAS.2022.105506
Abstract(6783) HTML (112) PDF(1368)
Abstract:
Multi-agent systems can solve scientific issues related to complex systems that are difficult or impossible for a single agent to solve through mutual collaboration and cooperation optimization. In a multi-agent system, agents with a certain degree of autonomy generate complex interactions due to the correlation and coordination, which is manifested as cooperative/competitive behavior. This survey focuses on multi-agent cooperative optimization and cooperative/non-cooperative games. Starting from cooperative optimization, the studies on distributed optimization and federated optimization are summarized. The survey mainly focuses on distributed online optimization and its application in privacy protection, and overviews federated optimization from the perspective of privacy protection me- chanisms. Then, cooperative games and non-cooperative games are introduced to expand the cooperative optimization problems from two aspects of minimizing global costs and minimizing individual costs, respectively. Multi-agent cooperative and non-cooperative behaviors are modeled by games from both static and dynamic aspects, according to whether each player can make decisions based on the information of other players. Finally, future directions for cooperative optimization, cooperative/non-cooperative games, and their applications are discussed.
A Survey of Cyber Attacks on Cyber Physical Systems: Recent Advances and Challenges
Wenli Duso, MengChu Zhou, Abdullah Abusorrah
2022, 9(5): 784-800. doi: 10.1109/JAS.2022.105548
Abstract(7530) HTML (479) PDF(1718)
Abstract:
A cyber physical system (CPS) is a complex system that integrates sensing, computation, control and networking into physical processes and objects over Internet. It plays a key role in modern industry since it connects physical and cyber worlds. In order to meet ever-changing industrial requirements, its structures and functions are constantly improved. Meanwhile, new security issues have arisen. A ubiquitous problem is the fact that cyber attacks can cause significant damage to industrial systems, and thus has gained increasing attention from researchers and practitioners. This paper presents a survey of state-of-the-art results of cyber attacks on cyber physical systems. First, as typical system models are employed to study these systems, time-driven and event-driven systems are reviewed. Then, recent advances on three types of attacks, i.e., those on availability, integrity, and confidentiality are discussed. In particular, the detailed studies on availability and integrity attacks are introduced from the perspective of attackers and defenders. Namely, both attack and defense strategies are discussed based on different system models. Some challenges and open issues are indicated to guide future research and inspire the further exploration of this increasingly important area.
PAPERS
Target Capturing in an Ellipsoidal Region for a Swarm of Double Integrator Agents
Antonio Bono, Luigi D’Alfonso, Giuseppe Fedele, Veysel Gazi
2022, 9(5): 801-811. doi: 10.1109/JAS.2022.105551
Abstract(1142) HTML (96) PDF(120)
Abstract:
In this paper we focus on the target capturing problem for a swarm of agents modelled as double integrators in any finite space dimension. Each agent knows the relative position of the target and has only an estimation of its velocity and acceleration. Given that the estimation errors are bounded by some known values, it is possible to design a control law that ensures that agents enter a user-defined ellipsoidal ring around the moving target. Agents know the relative position of the other members whose distance is smaller than a common detection radius. Finally, in the case of no uncertainty about target data and homogeneous agents, we show how the swarm can reach a static configuration around the moving target. Some simulations are reported to show the effectiveness of the proposed strategy.
A Primal-Dual SGD Algorithm for Distributed Nonconvex Optimization
Xinlei Yi, Shengjun Zhang, Tao Yang, Tianyou Chai, Karl Henrik Johansson
2022, 9(5): 812-833. doi: 10.1109/JAS.2022.105554
Abstract(1711) HTML (439) PDF(173)
Abstract:
The distributed nonconvex optimization problem of minimizing a global cost function formed by a sum of n local cost functions by using local information exchange is considered. This problem is an important component of many machine learning techniques with data parallelism, such as deep learning and federated learning. We propose a distributed primal-dual stochastic gradient descent (SGD) algorithm, suitable for arbitrarily connected communication networks and any smooth (possibly nonconvex) cost functions. We show that the proposed algorithm achieves the linear speedup convergence rate ${{{\cal{O}}(1/\sqrt{nT})}}$ for general nonconvex cost functions and the linear speedup convergence rate $ {\cal{O}}(1/(nT))$ when the global cost function satisfies the Polyak-Łojasiewicz (P-Ł) condition, where T is the total number of iterations. We also show that the output of the proposed algorithm with constant parameters linearly converges to a neighborhood of a global optimum. We demonstrate through numerical experiments the efficiency of our algorithm in comparison with the baseline centralized SGD and recently proposed distributed SGD algorithms.
Attitude Regulation With Bounded Control in the Presence of Large Disturbances With Bounded Moving Average
Ang Li, Alessandro Astolfi, Ming Liu
2022, 9(5): 834-846. doi: 10.1109/JAS.2022.105557
Abstract(1098) HTML (81) PDF(99)
Abstract:
The attitude regulation problem with bounded control for a class of satellites in the presence of large disturbances, with bounded moving average, is solved using a Lyapunov-like design. The analysis and design approaches are introduced in the case in which the underlying system is an integrator and are then applied to the satellite attitude regulation problem. The performance of the resulting closed-loop systems are studied in detail and it is shown that trajectories are ultimately bounded despite the effect of the persistent disturbance. Simulation results on a model of a small satellite subject to large, but bounded in moving average, disturbances are presented.
Bipartite Formation Tracking for Multi-Agent Systems Using Fully Distributed Dynamic Edge-Event-Triggered Protocol
Weihua Li, Huaguang Zhang, Yu Zhou, Yingchun Wang
2022, 9(5): 847-853. doi: 10.1109/JAS.2021.1004377
Abstract(1663) HTML (347) PDF(188)
Abstract:
In this study, the bipartite time-varying output formation tracking problem for heterogeneous multi-agent systems (MASs) with multiple leaders and switching communication networks is considered. Note that the switching communication networks may be connected or disconnected. To address this problem, a novel reduced-dimensional observer-based fully distributed asynchronous dynamic edge-event-triggered output feedback control protocol is developed, and the Zeno behavior is ruled out. The theoretical analysis gives the admissible switching frequency and switching width under the proposed control protocol. Different from the existing works, the control protocol reduces the dimension of information to be transmitted between neighboring agents. Moreover, since an additional positive internal dynamic variable is introduced into the triggering functions, the control protocol can guarantee a larger inter-event time interval compared with previous results. Finally, a simulation example is given to verify the effectiveness and performance of the theoretical result.
Neural Dynamics for Distributed Collaborative Control of Manipulators With Time Delays
Long Jin, Xin Zheng, Xin Luo
2022, 9(5): 854-863. doi: 10.1109/JAS.2022.105446
Abstract(1337) HTML (78) PDF(108)
Abstract:
Time-delay phenomena extensively exist in practical systems, e.g., multi-agent systems, bringing negative impacts on their stabilities. This work analyzes a collaborative control problem of redundant manipulators with time delays and proposes a time-delayed and distributed neural dynamics scheme. Under assumptions that the network topology is fixed and connected and the existing maximal time delay is no more than a threshold value, it is proved that all manipulators in the distributed network are able to reach a desired motion. The proposed distributed scheme with time delays considered is converted into a time-variant optimization problem, and a neural dynamics solver is designed to solve it online. Then, the proposed neural dynamics solver is proved to be stable, convergent and robust. Additionally, the allowable threshold value of time delay that ensures the proposed scheme’s stability is calculated. Illustrative examples and comparisons are provided to intuitively prove the validity of the proposed neural dynamics scheme and solver.
Distributed Robust Containment Control of Linear Heterogeneous Multi-Agent Systems: An Output Regulation Approach
Wenchao Huang, Hailin Liu, Jie Huang
2022, 9(5): 864-877. doi: 10.1109/JAS.2022.105560
Abstract(1448) HTML (578) PDF(197)
Abstract:
In this paper, we consider the robust output containment problem of linear heterogeneous multi-agent systems under fixed directed networks. A distributed dynamic observer based on the leaders’ measurable output was designed to estimate a convex combination of the leaders’ states. First, for the case of followers with identical state dimensions, distributed dynamic state and output feedback control laws were designed based on the state-coupled item and the internal model compensator to drive the uncertain followers into the leaders’ convex hull within the output regulation framework. Subsequently, we extended theoretical results to the case where followers have nonidentical state dimensions. By establishing virtual errors between the dynamic observer and followers, a new distributed dynamic output feedback control law was constructed using only the states of the compensator to solve the robust output containment problem. Finally, two numerical simulations verified the effectiveness of the designed schemes.
BaMBNet: A Blur-Aware Multi-Branch Network for Dual-Pixel Defocus Deblurring
Pengwei Liang, Junjun Jiang, Xianming Liu, Jiayi Ma
2022, 9(5): 878-892. doi: 10.1109/JAS.2022.105563
Abstract(1780) HTML (73) PDF(113)
Abstract:
Reducing the defocus blur that arises from the finite aperture size and short exposure time is an essential problem in computational photography. It is very challenging because the blur kernel is spatially varying and difficult to estimate by traditional methods. Due to its great breakthrough in low-level tasks, convolutional neural networks (CNNs) have been introduced to the defocus deblurring problem and achieved significant progress. However, previous methods apply the same learned kernel for different regions of the defocus blurred images, thus it is difficult to handle nonuniform blurred images. To this end, this study designs a novel blur-aware multi-branch network (BaMBNet), in which different regions are treated differentially. In particular, we estimate the blur amounts of different regions by the internal geometric constraint of the dual-pixel (DP) data, which measures the defocus disparity between the left and right views. Based on the assumption that different image regions with different blur amounts have different deblurring difficulties, we leverage different networks with different capacities to treat different image regions. Moreover, we introduce a meta-learning defocus mask generation algorithm to assign each pixel to a proper branch. In this way, we can expect to maintain the information of the clear regions well while recovering the missing details of the blurred regions. Both quantitative and qualitative experiments demonstrate that our BaMBNet outperforms the state-of-the-art (SOTA) methods. For the dual-pixel defocus deblurring (DPD)-blur dataset, the proposed BaMBNet achieves 1.20 dB gain over the previous SOTA method in term of peak signal-to-noise ratio (PSNR) and reduces learnable parameters by 85%. The details of the code and dataset are available at https://github.com/junjun-jiang/BaMBNet.
Active Disturbance Rejection Control for Uncertain Nonlinear Systems With Sporadic Measurements
Kanghui He, Chaoyang Dong, Qing Wang
2022, 9(5): 893-906. doi: 10.1109/JAS.2022.105566
Abstract(1691) HTML (838) PDF(160)
Abstract:
This paper deals with the problem of active disturbance rejection control (ADRC) design for a class of uncertain nonlinear systems with sporadic measurements. A novel extended state observer (ESO) is designed in a cascade form consisting of a continuous time estimator, a continuous observation error predictor, and a reset compensator. The proposed ESO estimates not only the system state but also the total uncertainty, which may include the effects of the external perturbation, the parametric uncertainty, and the unknown nonlinear dynamics. Such a reset compensator, whose state is reset to zero whenever a new measurement arrives, is used to calibrate the predictor. Due to the cascade structure, the resulting error dynamics system is presented in a non-hybrid form, and accordingly, analyzed in a general sampled-data system framework. Based on the output of the ESO, a continuous ADRC law is then developed. The convergence of the resulting closed-loop system is proved under given conditions. Two numerical simulations demonstrate the effectiveness of the proposed control method.
An Age-Dependent and State-Dependent Adaptive Prognostic Approach for Hidden Nonlinear Degrading System
Zhenan Pang, Xiaosheng Si, Changhua Hu, Zhengxin Zhang
2022, 9(5): 907-921. doi: 10.1109/JAS.2021.1003859
Abstract(3015) HTML (637) PDF(83)
Abstract:
Remaining useful life (RUL) estimation approaches on the basis of the degradation data have been greatly developed, and significant advances have been witnessed. Establishing an applicable degradation model of the system is the foundation and key to accurately estimating its RUL. Most current researches focus on age-dependent degradation models, but it has been found that some degradation processes in engineering are also related to the degradation states themselves. In addition, due to different working conditions and complex environments in engineering, the problems of the unit-to-unit variability in the degradation process of the same batch of systems and actual degradation states cannot be directly observed will affect the estimation accuracy of the RUL. In order to solve the above issues jointly, we develop an age-dependent and state-dependent nonlinear degradation model taking into consideration the unit-to-unit variability and hidden degradation states. Then, the Kalman filter (KF) is utilized to update the hidden degradation states in real time, and the expectation-maximization (EM) algorithm is applied to adaptively estimate the unknown model parameters. Besides, the approximate analytical RUL distribution can be obtained from the concept of the first hitting time. Once the new observation is available, the RUL distribution can be updated adaptively on the basis of the updated degradation states and model parameters. The effectiveness and accuracy of the proposed approach are shown by a numerical simulation and case studies for Li-ion batteries and rolling element bearings.
LETTERS
Decentralized Control of Multiagent Navigation Systems
Boyang Zhang, Henri P. Gavin
2022, 9(5): 922-925. doi: 10.1109/JAS.2022.105569
Abstract(921) HTML (108) PDF(128)
Abstract:
Recursive Fault Estimation With Energy Harvesting Sensors and Uniform Quantization Effects
Yu-Ang Wang, Bo Shen, Lei Zou
2022, 9(5): 926-929. doi: 10.1109/JAS.2022.105572
Abstract(944) HTML (134) PDF(75)
Abstract:
Fixed-Time Cooperative Tracking for Delayed Disturbed Multi-Agent Systems Under Dynamic Event-Triggered Control
Jian Liu, Yongbao Wu, Mengwei Sun, Changyin Sun
2022, 9(5): 930-933. doi: 10.1109/JAS.2022.105503
Abstract(818) HTML (84) PDF(185)
Abstract:
Predefined-Time Sliding Mode Control with Prescribed Convergent Region
Ke Shao, Jinchuan Zheng
2022, 9(5): 934-936. doi: 10.1109/JAS.2022.105575
Abstract(1480) HTML (243) PDF(188)
Abstract:
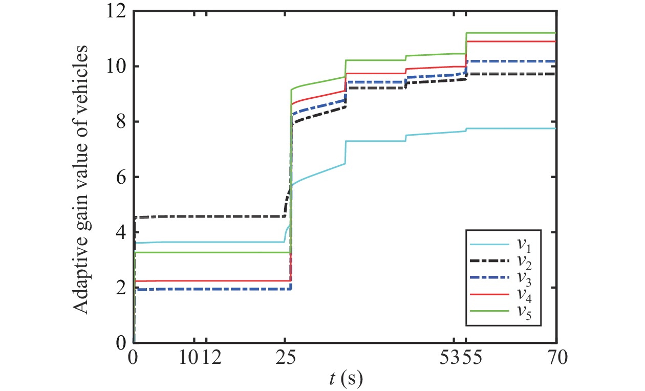
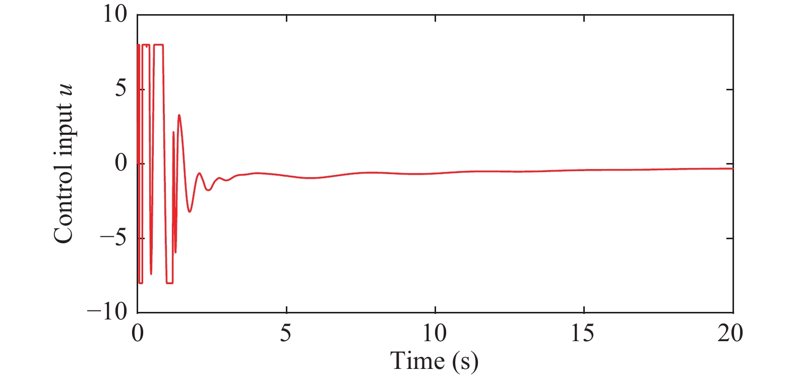
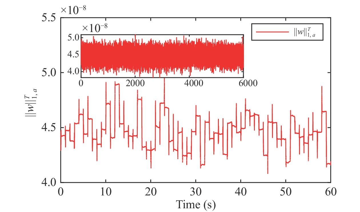
Fully Distributed Resilient Cooperative Control of Vehicular Platoon Systems Under DoS Attacks
Lei Ding, Jie Li, Maojiao Ye, Yuan Zhao
2022, 9(5): 937-940. doi: 10.1109/JAS.2022.105578
Abstract(901) HTML (62) PDF(127)
Abstract:
Dynamic Event-triggered State Estimation for Nonlinear Coupled Output Complex Networks Subject to Innovation Constraints
Jun Hu, Chaoqing Jia, Hui Yu, Hongjian Liu
2022, 9(5): 941-944. doi: 10.1109/JAS.2022.105581
Abstract(865) HTML (90) PDF(117)
Abstract:
Consensus Control for Multiple Euler-Lagrange Systems Based on High-Order Disturbance Observer: An Event-Triggered Approach
Xinchen Guo, Guoliang Wei, Meng Yao, Pengju Zhang
2022, 9(5): 945-948. doi: 10.1109/JAS.2022.105584
Abstract(721) HTML (125) PDF(118)
Abstract: