A journal of IEEE and CAA , publishes high-quality papers in English on original theoretical/experimental research and development in all areas of automation
Volume 13 Issue 2
Feb.  2026

IEEE/CAA Journal of Automatica Sinica

  • JCR Impact Factor: 19.2, Top 1 (SCI Q1)
    CiteScore: 28.2, Top 1% (Q1)
    Google Scholar h5-index: 95, TOP 5
Turn off MathJax
Article Contents
J. She, S. Hara, Q.-L. Han, L. Zhou, and M. Wu, “Repetitive control: Basic concept, fundamental theory, and practical applications,” IEEE/CAA J. Autom. Sinica, vol. 13, no. 2, pp. 243–258, Feb. 2026. doi: 10.1109/JAS.2025.125297
Citation: J. She, S. Hara, Q.-L. Han, L. Zhou, and M. Wu, “Repetitive control: Basic concept, fundamental theory, and practical applications,” IEEE/CAA J. Autom. Sinica, vol. 13, no. 2, pp. 243–258, Feb. 2026. doi: 10.1109/JAS.2025.125297

Repetitive Control: Basic Concept, Fundamental Theory, and Practical Applications

doi: 10.1109/JAS.2025.125297
Funds:  This work was supported in part by the Japan Society for the Promotion of Science Grants-in-Aid for Scientific Research (B) (23K25252, 24K03325), the National Natural Science Foundation of China (61873348), and the Natural Science Foundation of Hubei Province, China (2020CFA031)
More Information
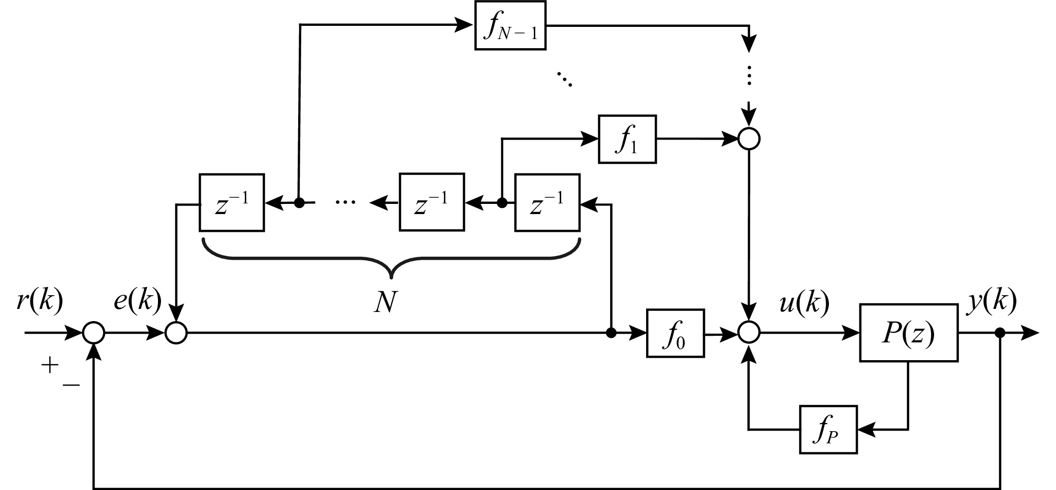
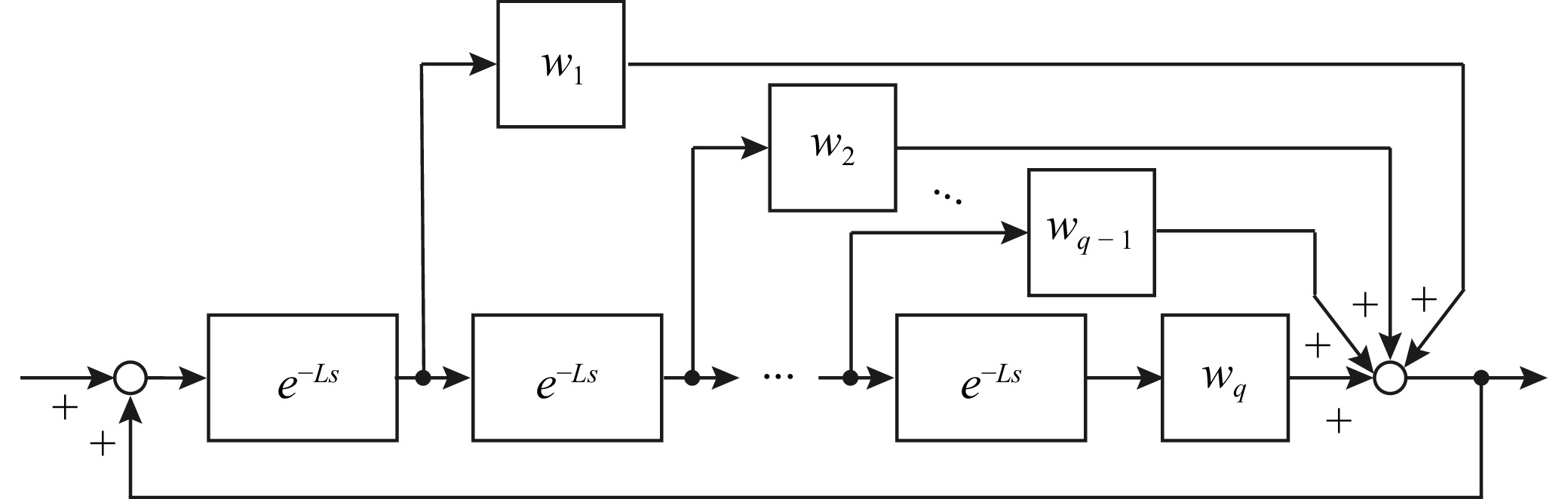
  • As a closed-loop learning control method, repetitive control has been widely used in a variety of areas from appliances to aviation. A repetitive control system features perfect reference tracking and disturbance rejection in the steady state for periodic signals with a fixed period. This characteristic is important not only for conventional technologies and conventional industries but also for advanced technologies and emerging industries. This paper first explains the concept of repetitive control from its original idea. Next, it describes the structure of a repetitive controller as an internal model and shows the respective points of continuous- and discrete-time repetitive control. It presents a categorized list of practical applications of repetitive control. Moreover, two concrete applications, namely the control of a robotic manipulator and a rotating system, demonstrate the validity of the method with experimental results. Several current studies in this field are also reviewed, and some challenges and future studies for repetitive control are provided.

     

  • loading
  • [1]
    B. A. Francis and W. M. Wonham, “The internal model principle of control theory,” Automatica, vol. 12, no. 5, pp. 457–465, Sept. 1976. doi: 10.1016/0005-1098(76)90006-6
    [2]
    T. Inoue, M. Nakano, T. Kubo, S. Matsumoto, and H. Baba, “High accuracy control for magnet power supply of proton synchrotron in recurrent operation,” Trans. Inst. Electr. Eng. Japan. C, vol. 100, no. 7, pp. 234−240, 1980.
    [3]
    T. Inoue, M. Nakano, T. Kubo, S. Matsumoto, and H. Baba, “High accuracy control of a proton synchrotron magnet power supply,” IFAC Proc. Vol., vol. 14, no. 2, pp. 3137–3142, Aug. 1981. doi: 10.1016/S1474-6670(17)63938-7
    [4]
    S. Hara, Y. Yamamoto, T. Omata, and M. Nakano, “Repetitive control system: A new type servo system for periodic exogenous signals,” IEEE Trans. Automat. Control, vol. 33, no. 7, pp. 659–668, Jul. 1988. doi: 10.1109/9.1274
    [5]
    J. Hu, H. Lai, Z. Chen, X. Ma, and B. Yao, “Desired compensation adaptive robust repetitive control of a multi-DoFs industrial robot,” ISA Trans., vol. 128, pp. 556–564, Sept. 2022. doi: 10.1016/j.isatra.2021.10.002
    [6]
    Y. Chu, S. Hou, C. Wang, and J. Fei, “Recurrent-neural-network-based fractional order sliding mode control for harmonic suppression of power grid,” IEEE Trans. Ind. Inf., vol. 19, no. 10, pp. 9979–9990, Oct. 2023. doi: 10.1109/TII.2023.3234305
    [7]
    M. Nakano, T. Inoue, Y. Yamamoto, and S. Hara, Repetitive Control. Japan: the Society of Instrument and Control Engineers, 1989.
    [8]
    T. Iuoue, M. Nakano, and S. Iwai, “High accuracy control of servomechanism for repeated contouring,” in Proc. 10th Annu. Symp. Incremental Motion Control Systems and Devices, 1981, pp. 285−292.
    [9]
    S. Hara, T. Omata, and M. Nakano, “Stability condition and synthesis methods for repetitive control systems,” Trans. Soc. Instrum. Control Eng., vol. 22, no. 1, pp. 36–42, Jan. 1986. doi: 10.9746/sicetr1965.22.496b
    [10]
    Y. Yamamoto and S. Hara, “The internal model principle and stabilizability of repetitive control systems,” Trans. Soc. Instrum. Control Eng., vol. 22, no. 8, pp. 830–834, Aug. 1986. doi: 10.9746/sicetr1965.22.830
    [11]
    M. Tomizuka, T. C. Tsao, and K. K. Chew, “Analysis and synthesis of discrete-time repetitive controllers,” J. Dyn. Syst. Meas. Control, vol. 111, no. 3, pp. 353–358, Sept. 1989. doi: 10.23919/acc.1988.4789842
    [12]
    M. Nakano and S. Hara, “The theory and application of repetitive control systems,” Syst. Control, vol. 30, no. 1, pp. 34−41, 1986.
    [13]
    G. Hillerström and K. Walgama, “Repetitive control theory and applications—A survey,” IFAC Proc. Vol., vol. 29, no. 1, pp. 1446–1451, Jun.–Jul. 1996. doi: 10.1016/S1474-6670(17)57870-2
    [14]
    R. W. Longman, “Iterative learning control and repetitive control for engineering practice,” Int. J. Control, vol. 73, no. 10, pp. 930–954, Jul. 2000.
    [15]
    Y. Wang, F. Gao, and F. J. Doyle III, “Survey on iterative learning control, repetitive control, and run-to-run control,” J. Process Control, vol. 19, no. 10, pp. 1589–1600, Dec. 2009. doi: 10.1016/j.jprocont.2009.09.006
    [16]
    S. Arimoto, S. Kawamura, and F. Miyazaki, “Bettering operation of robots by learning,” J. Robot. Syst., vol. 1, no. 2, pp. 123−140, 1984.
    [17]
    D. A. Bristow, M. Tharayil, and A. G. Alleyne, “A survey of iterative learning control,” IEEE Control Syst. Mag., vol. 26, no. 3, pp. 96–114, Jun. 2006. doi: 10.1109/MCS.2006.1636313
    [18]
    H. S. Ahn, Y. Q. Chen, and K. L. Moore, “Iterative learning control: Brief survey and categorization,” IEEE Trans. Syst. Man, Cybern. Part C (Appl. Rev.), vol. 37, no. 6, pp. 1099–1121, Nov. 2007.
    [19]
    H. K. Khalil, Nonlinear Systems. 3rd ed. Upper Saddle River, USA: Prentice Hall, 2002.
    [20]
    C. M. Verrelli, S. Pirozzi, P. Tomei, and C. Natale, “Linear repetitive learning controls for robotic manipulators by Padé approximants,” IEEE Trans. Control Syst. Technol., vol. 23, no. 5, pp. 2063–2070, Sept. 2015. doi: 10.1109/TCST.2015.2396012
    [21]
    Y. H. Lan and J. Y. Zhao, “Improving track performance by combining Padé-approximation-based preview repetitive control and equivalent-input-disturbance,” J. Elect. Eng. Technol., vol. 19, no. 6, pp. 3781–3794, Feb. 2024. doi: 10.1007/s42835-024-01830-x
    [22]
    G. Weiss and M. Hafele, “Repetitive control of MIMO systems using H design,” Automatica, vol. 35, no. 7, pp. 1185–1199, Jul. 1999. doi: 10.1016/s0005-1098(99)00036-9
    [23]
    S. Hara and T. Mita, “Stabilization of discrete-time servo systems,” in Proc. 30th Japan Joint Automatic Control Conf., 1987, pp. 155−156.
    [24]
    T. Tsuchiya and T. Egami, Digital Preview Control. Japan: Industry Press, 1992.
    [25]
    C. T. Freeman, P. L. Lewin, E. Rogers, D. H. Owens, and J. HÄtönen, “An optimality-based repetitive control algorithm for discrete-time systems,” IEEE Trans. Circuits Syst. I: Regul. Pap., vol. 55, no. 1, pp. 412–423, Feb. 2008. doi: 10.1109/TCSI.2007.914005
    [26]
    S. Hara, M. Tetsuka, and R. Kondo, “Ripple attenuation in digital repetitive control systems,” in Proc. 29th IEEE Conf. Decision and Control, Honolulu, USA, 1990, pp. 1679−1684.
    [27]
    A. Langari and B. A. Francis, “Sampled-date repetitive control systems,” in Proc. American Control Conf., Baltimore, USA, 1994, pp. 3234−3235.
    [28]
    M. Nagahara and Y. Yamamoto, “Digital repetitive controller design via sampled-data delayed signal reconstruction,” Automatica, vol. 65, pp. 203–209, Mar. 2016. doi: 10.1016/j.automatica.2015.11.029
    [29]
    G. Hillerström and J. Sternby, “Robustness properties of repetitive controllers,” Int. J. Control, vol. 65, no. 6, pp. 939–961, Dec. 1996. doi: 10.1080/00207179608921732
    [30]
    G. Pipeleers, B. Demeulenaere, J. De Schutter, and J. Swevers, “Robust high-order repetitive control: Optimal performance trade-offs,” Automatica, vol. 44, no. 10, pp. 2628–2634, Oct. 2008. doi: 10.1016/j.automatica.2008.02.028
    [31]
    T. C. Tsao and M. Tomizuka, “Adaptive and repetitive digital control algorithms for noncircular machining,” in Proc. American Control Conf., Atlanta, USA, 1988, pp. 115−120.
    [32]
    K. Watanabe, “Finite spectrum assignment of time delay systems—A fusion of the methods based on adj $(sI-A(z))b=P(s)v(z) $ and $M(z)v(s) $—,” Trans. Soc. Instrum. Control Eng., vol. 25, no. 4, pp. 427−432, 1989.
    [33]
    N. Sadegh, “Synthesis of a stable discrete-time repetitive controller for MIMO systems,” J. Dyn. Syst. Meas. Control, vol. 117, no. 1, pp. 92–98, Mar. 1995. doi: 10.1115/1.2798528
    [34]
    K. Srinivasan and F. R. Shaw, “Analysis and design of repetitive control systems using the regeneration spectrum,” J. Dyn. Syst. Meas. Control, vol. 113, no. 2, pp. 216–222, Jun. 1991. doi: 10.23919/acc.1990.4790923
    [35]
    F. R. Shaw and K. Srinivasan, “Discrete-time repetitive control system design using the regeneration spectrum,” J. Dyn. Syst. Meas. Control, vol. 115, no. 2A, pp. 228–237, Jun. 1993. doi: 10.1115/1.2899026
    [36]
    T. Y. Doh and M. J. Chung, “Repetitive control design for linear systems with time-varying uncertainties,” IEE Proc. Control Theory Appl., vol. 150, no. 4, pp. 427–432, Jul. 2003. doi: 10.1049/ip-cta:20030533
    [37]
    K. K. Chew and M. Tomizuka, “Steady-state and stochastic performance of a modified discrete-time prototype repetitive controller,” J. Dyn. Syst. Meas. Control, vol. 112, no. 1, pp. 35–41, Mar. 1990.
    [38]
    K. S. Walgama and J. Sternby, “A feedforward controller design for periodic signals in non-minimum phase processes,” Int. J. Control, vol. 61, no. 3, pp. 695−718, Mar. 1995.
    [39]
    S. S. Garimella and K. Srinivasan, “Transient response of repetitive control systems,” J. Dyn. Syst. Meas. Control, vol. 118, no. 4, pp. 795–797, Dec. 1996. doi: 10.1115/1.2802360
    [40]
    L. Guvenç, “Stability and performance robustness analysis of repetitive control systems using structured singular values,” J. Dyn. Syst. Meas. Control, vol. 118, no. 3, pp. 593–597, Sept. 1996. doi: 10.1115/1.2801185
    [41]
    J. Li and T. C. Tsao, “Robust performance repetitive control systems,” J. Dyn. Syst. Meas. Control, vol. 123, no. 3, pp. 330–337, Sept. 2001. doi: 10.1115/1.1387015
    [42]
    R. C. H. Lee and M. C. Smith, “Robustness and trade-offs in repetitive control,” Automatica, vol. 34, no. 7, pp. 889–896, Jul. 1998. doi: 10.1016/s0005-1098(98)00024-7
    [43]
    H. J. Chen and R. W. Longman, “The importance of smooth updates in producing good error levels in repetitive control,” in Proc. 38th Conf. Decision Control, Phoenix, USA, 1999, pp. 258−263.
    [44]
    D. H. Kim and T. C. Tsao, “Robust performance control of electrohydraulic actuators for electronic cam motion generation,” IEEE Trans. Control Syst. Technol., vol. 8, no. 2, pp. 220–227, Mar. 2000. doi: 10.1109/87.826793
    [45]
    W. S. Yao and M. C. Tsai, “Analysis and estimation of tracking errors of plug-in type repetitive control systems,” IEEE Trans. Autom. Control, vol. 50, no. 8, pp. 1190–1195, Aug. 2005. doi: 10.1109/TAC.2005.852553
    [46]
    T. Y. Doh, J. R. Ryoo, and M. J. Chung, “Design of a repetitive controller: An application to the track-following servo system of optical disk drives,” IEE Proc. Control Theory Appl., vol. 153, no. 3, pp. 323–330, May 2006. doi: 10.1049/ip-cta:20045217
    [47]
    J. She, L. Zhou, M. Wu, J. Zhang, and Y. He, “Design of a modified repetitive-control system based on a continuous-discrete 2D model,” Automatica, vol. 48, no. 5, pp. 844–850, May 2012. doi: 10.1016/j.automatica.2012.02.019
    [48]
    J. V. Flores, L. F. A. Pereira, G. Bonan, D. F. Coutinho, and J. M. G. Jr. da Silva, “A systematic approach for robust repetitive controller design,” Control Eng. Pract., vol. 52, pp. 214–222, Sept. 2016. doi: 10.1016/j.conengprac.2016.06.003
    [49]
    M. Sun, Y. Wang, and D. Wang, “Variable-structure repetitive control: A discrete-time strategy,” IEEE Trans. Ind. Electron., vol. 52, no. 2, pp. 610–616, Apr. 2005. doi: 10.1109/TIE.2005.844227
    [50]
    L. Li and C. Jia, “Preview repetitive control for polytopic nonlinear discrete-time systems,” Sci. Prog., vol. 105, no. 2, pp. 1−23, 2022.
    [51]
    Y. H. Lan and J. Y. Zhao, “Design of a preview repetitive control with equivalent-input-disturbance system based on a continuous-discrete 2D model,” J. Franklin Inst., vol. 360, no. 3, pp. 1884–1903, Feb. 2023. doi: 10.1016/j.jfranklin.2022.12.052
    [52]
    E. R. Conde D, A. Lunardi, L. F. Normandia Lourenčo, and A. J. Sguarezi Filho, “A predictive repetitive current control in stationary reference frame for DFIG systems under distorted voltage operation,” IEEE J. Emerg. Sel. Top. Power Electron., vol. 10, no. 5, pp. 5809–5818, Oct. 2022. doi: 10.1109/JESTPE.2022.3173973
    [53]
    M. Li, H. Xiao, and M. Cheng, “An adaptive strategy based on repetitive predictive control for improving adaptability of LCL-type grid-connected inverters under weak grid,” IEEE Trans. Power Electron., vol. 37, no. 3, pp. 2562–2572, Mar. 2022. doi: 10.1109/TPEL.2021.3108878
    [54]
    L. Li, Z. Chen, S. S. Aphale, and L. Zhu, “Fractional repetitive control of nanopositioning stages for high-speed scanning using low-pass FIR variable fractional delay filter,” IEEE/ASME Trans. Mechatron., vol. 25, no. 2, pp. 547–557, Apr. 2020. doi: 10.1109/TMECH.2020.2969222
    [55]
    L. W. Shih and C. W. Chen, “Model-free repetitive control design and implementation for dynamical galvanometer-based raster scanning,” Control Eng. Pract., vol. 122, p. 105124, May 2022. doi: 10.1016/j.conengprac.2022.105124
    [56]
    X. Chen and M. Tomizuka, “New repetitive control with improved steady-state performance and accelerated transient,” IEEE Trans. Control Syst. Technol., vol. 22, no. 2, pp. 664–675, Mar. 2014. doi: 10.1109/TCST.2013.2253102
    [57]
    K. Nie, W. Xue, C. Zhang, and Y. Mao, “Disturbance observer-based repetitive control with application to optoelectronic precision positioning system,” J. Franklin Inst., vol. 358, no. 16, pp. 8443–8469, Oct. 2021. doi: 10.1016/j.jfranklin.2021.08.042
    [58]
    L. Wang, C. T. Freeman, E. Rogers, and P. C. Young, “Disturbance observer-based repetitive control system with nonminimal state-space realization and experimental evaluation,” IEEE Trans. Control Syst. Technol., vol. 31, no. 2, pp. 961–968, Mar. 2023. doi: 10.1109/TCST.2022.3202299
    [59]
    A. H. M. Sayem, Z. Cao, and Z. Man, “Model free ESO-based repetitive control for rejecting periodic and aperiodic disturbances,” IEEE Trans. Ind. Electron., vol. 64, no. 4, pp. 3433–3441, Apr. 2017. doi: 10.1109/TIE.2016.2606086
    [60]
    R. Sakthivel, S. Mohanapriya, P. Selvaraj, H. R. Karimi, and S. Marshal Anthoni, “EID estimator-based modified repetitive control for singular systems with time-varying delay,” Nonlinear Dyn., vol. 89, no. 2, pp. 1141–1156, Apr. 2017. doi: 10.1007/s11071-017-3506-1
    [61]
    K. Gu, V. L. Kharitonov, and J. Chen, Stability of Time-Delay Systems. Boston, USA: Birkhäuser, 2003.
    [62]
    M. Wu, Y. He, and J. H. She, Stability Analysis and Robust Control of Time-Delay Systems. Berlin, Heidelberg, Germany: Springer, 2010.
    [63]
    E. Fridman, Introduction to Time-Delay Systems: Analysis and Control. Cham, Germany: Birkhäuser, 2014.
    [64]
    L. Zhou, J. She, and S. Zhou, “Robust H control of an observer-based repetitive-control system,” J. Franklin Inst., vol. 355, no. 12, pp. 4952–4969, Aug. 2018. doi: 10.1016/j.jfranklin.2018.05.024
    [65]
    T. C. Tsao, Y. X. Qian, and M. Nemani, “Repetitive control for asymptotic tracking of periodic signals with an unknown period,” J. Dyn. Syst. Meas. Control, vol. 122, no. 2, pp. 364–369, Jun. 2000. doi: 10.1115/1.482474
    [66]
    Z. Cao and G. F. Ledwich, “Adaptive repetitive control to track variable periodic signals with fixed sampling rate,” IEEE/ASME Trans. Mechatron., vol. 7, no. 3, pp. 378–384, Sept. 2002. doi: 10.1109/TMECH.2002.802730
    [67]
    B. Shahsavari, E. Keikha, F. Zhang, and R. Horowitz, “Adaptive repetitive control design with online secondary path modeling and application to bit-patterned media recording,” IEEE Trans. Magn., vol. 51, no. 4, p. 9401108, Apr. 2015. doi: 10.1109/tmag.2014.2364737
    [68]
    R. Nazir, “Taylor series expansion based repetitive controllers for power converters, subject to fractional delays,” Control Eng. Pract., vol. 64, pp. 140–147, Jul. 2017. doi: 10.1016/j.conengprac.2017.03.013
    [69]
    Z. Liu, B. Zhang, K. Zhou, and J. Wang, “Virtual variable sampling discrete Fourier transform based selective odd-order harmonic repetitive control of DC/AC converters,” IEEE Trans. Power Electron., vol. 33, no. 7, pp. 6444–6452, Jul. 2018. doi: 10.1109/TPEL.2017.2764020
    [70]
    W. W. Huang, C. Hu, and L. M. Zhu, “Robust repetitive control of nanopositioning stages using the spectrum-selection filter with narrow passbands,” IEEE/ASME Trans. Mechatron., vol. 27, no. 5, pp. 4211–4216, Oct. 2022. doi: 10.1109/TMECH.2022.3143149
    [71]
    M. Steinbuch, “Repetitive control for systems with uncertain period-time,” Automatica, vol. 38, no. 12, pp. 2103–2109, Dec. 2002. doi: 10.1016/S0005-1098(02)00134-6
    [72]
    Z. Feng, M. Ming, J. Ling, X. Xiao, Z. X. Yang, and F. Wan, “Fractional delay filter based repetitive control for precision tracking: Design and application to a piezoelectric nanopositioning stage,” Mech. Syst. Signal Process., vol. 164, p. 108249, Feb. 2022. doi: 10.1016/j.ymssp.2021.108249
    [73]
    Y. Chen, K. Zhou, C. Tang, Y. Shu, and Y. Yang, “Fractional-order multiperiodic odd-harmonic repetitive control of programmable AC power sources,” IEEE Trans. Power Electron., vol. 37, no. 7, pp. 7751–7758, Jul. 2022. doi: 10.1109/TPEL.2022.3147062
    [74]
    R. Nazir, K. Zhou, N. Watson, and A. Wood, “Analysis and synthesis of fractional order repetitive control for power converters,” Electric Power Syst. Res., vol. 124, pp. 110–119, Jul. 2015. doi: 10.1016/j.jpgr.2015.03.005
    [75]
    N. Feng, Y. Ruan, and T. Tang, “Youla parameterization-based fractional repetitive control of arbitrary frequency disturbance rejections for line-of-sight stabilization,” IEEE Trans. Ind. Electron., vol. 71, no. 8, pp. 9460–9469, Aug. 2024. doi: 10.1109/TIE.2023.3317840
    [76]
    S. Mandra, A. Mystkowski, and H. Aschemann, “Robust design of a fractional-delay repetitive controller for uncertain feedback control systems and its validation on a magnetic bearing test rig,” IEEE Trans. Control Syst. Technol., vol. 31, no. 6, pp. 2531–2542, Nov. 2023. doi: 10.1109/TCST.2023.3274923
    [77]
    A. Straś, B. Ufnalski, M. Michalczuk, A. Gałecki, and L. Grzesiak, “Design of fractional delay repetitive control with a dead-beat compensator for a grid-tied converter under distorted grid voltage conditions,” Control Eng. Pract., vol. 98, p. 104374, May 2020. doi: 10.1016/j.conengprac.2020.104374
    [78]
    K. Omura, H. Ujikawa, O. Kaneko, Y. Okano, S. Yamamoto, H. Imanari, and T. Horikawa, “Attenuation of roll eccentric disturbance by modified repetitive controllers for steel strip process with transport time delay,” IFAC-PapersOnLine, vol. 48, no. 17, pp. 131–136, Dec. 2015. doi: 10.1016/j.ifacol.2015.10.091
    [79]
    Ł. Breńkacz, Ł. Witanowski, M. Drosińska-Komor, and N. Szewczuk-Krypa, “Research and applications of active bearings: A state-of-the-art review,” Mech. Syst. Signal Process., vol. 151, p. 107423, Apr. 2021. doi: 10.1016/j.ymssp.2020.107423
    [80]
    G. Hillerstrom, “Adaptive suppression of vibrations-a repetitive control approach,” IEEE Trans. Control Syst. Technol., vol. 4, no. 1, pp. 72–78, Jan. 1996. doi: 10.1109/87.481769
    [81]
    M. Nakano, J. H. She, Y. Mastuo, and T. Hino, “Elimination of position-dependent disturbances in constant-speed-rotation control systems,” Control Eng. Pract., vol. 4, no. 9, pp. 1241–1248, Sept. 1996. doi: 10.1016/0967-0661(96)00130-X
    [82]
    X. Zhang, T. Shinshi, L. Li, and A. Shimokohbe, “A combined repetitive control for precision rotation of magnetic bearing,” Precis. Eng., vol. 27, no. 3, pp. 273–282, Jul. 2003. doi: 10.1016/S0141-6359(03)00003-5
    [83]
    M. Crudele and T. R. Kurfess, “Implementation of a fast tool servo with repetitive control for diamond turning,” Mechatronics, vol. 13, no. 3, pp. 243–257, Apr. 2003. doi: 10.1016/S0957-4158(01)00036-8
    [84]
    W. W. Huang, X. Zhang, and L. M. Zhu, “Band-stop-filter-based repetitive control of fast tool servos for diamond turning of micro-structured functional surfaces,” Precis. Eng., vol. 83, pp. 124–133, Sept. 2023. doi: 10.1016/j.precisioneng.2023.05.008
    [85]
    L. Aarnoudse, K. Cox, S. Koekebakker, and T. Oomen, “Multirate repetitive control for an industrial print-belt system,” Mechatronics, vol. 100, p. 103187, Jun. 2024. doi: 10.1016/j.mechatronics.2024.103187
    [86]
    J. D. Álvarez, L. J. Yebra, and M. Berenguel, “Repetitive control of tubular heat exchangers,” J. Process Control, vol. 17, no. 9, pp. 689–701, Oct. 2007. doi: 10.1016/j.jprocont.2007.02.003
    [87]
    Y. Q. Chen, K. L. Moore, J. Yu, and T. Zhang, “Iterative learning control and repetitive control in hard disk drive industry-A tutorial,” Int. J. Adapt. Control Signal Process., vol. 22, no. 4, pp. 325–343, May 2008. doi: 10.1002/acs.1003
    [88]
    M. Hauser and M. Hofbauer, “FPGA-based EO-PLL with repetitive control for highly linear laser frequency tuning in FMCW LIDAR applications,” IEEE Photonics J., vol. 14, no. 1, p. 6808608, Feb. 2022. doi: 10.1109/jphot.2021.3139053
    [89]
    M. Tang, M. di Benedetto, S. Bifaretti, A. Lidozzi, and P. Zanchetta, “State of the art of repetitive control in power electronics and drive applications,” IEEE Open J. Ind. Appl., vol. 3, pp. 13−29, Jan. 2022.
    [90]
    L. Pan and X. Wang, “Variable pitch control on direct-driven PMSG for offshore wind turbine using Repetitive-TS fuzzy PID control,” Renew. Energy, vol. 159, pp. 221–237, Oct. 2020. doi: 10.1016/j.renene.2020.05.093
    [91]
    Y. Liu, R. Ferrari, and J. W. van Wingerden, “Load reduction for wind turbines: An output-constrained, subspace predictive repetitive control approach,” Wind Energ. Sci., vol. 7, no. 2, pp. 523–537, Mar. 2022. doi: 10.5194/wes-7-523-2022
    [92]
    W. Lu, W. Wang, K. Zhou, and Q. Fan, “General high-order selective harmonic repetitive control for PWM converters,” IEEE J. Emerg. Sel. Top. Power Electron., vol. 10, no. 1, pp. 1178–1191, Feb. 2022. doi: 10.1109/JESTPE.2021.3101857
    [93]
    A. K. Seth and M. Singh, “Modified repetitive control design for two stage off board Electric Vehicle charger,” ISA Trans., vol. 128, pp. 343–356, Sept. 2022. doi: 10.1016/j.isatra.2021.09.015
    [94]
    S. Han, Y. Cho, S. Baek, and K. Park, “Engine vibration reduction control in HEV using average periodic delay repetitive controller,” IEEE Trans. Transp. Electr., vol. 10, no. 4, pp. 8857–8868, Dec. 2024. doi: 10.1109/TTE.2024.3373073
    [95]
    D. Guo, J. R. Bourne, H. Wang, W. Yim, and K. K. Leang, “Adaptive-repetitive visual-servo control of low-flying aerial robots via uncalibrated high-flying cameras,” J. Nonlinear Sci., vol. 27, no. 4, pp. 1235–1256, Mar. 2017. doi: 10.1007/s00332-017-9377-2
    [96]
    P. Huang, Z. Li, M. Zhou, and Z. Kan, “Divergent component of motion planning and adaptive repetitive control for wearable walking exoskeletons,” IEEE Trans. Cybern., vol. 54, no. 4, pp. 2244–2256, Apr. 2024. doi: 10.1109/TCYB.2022.3222564
    [97]
    R. L. McGrath and F. Sergi, “Using repetitive control to enhance force control during human-robot interaction in quasi-periodic tasks,” IEEE Trans. Med. Robot. Bionics, vol. 5, no. 1, pp. 79–87, Feb. 2023. doi: 10.1109/TMRB.2023.3237766
    [98]
    J. Reinders, D. Elshove, B. Hunnekens, N. van de Wouw, and T. Oomen, “Triggered repetitive control: Application to mechanically ventilated patients,” IEEE Trans. Control Syst. Technol., vol. 31, no. 4, pp. 1581–1593, Jul. 2023. doi: 10.1109/TCST.2023.3237610
    [99]
    Z. Zhang, B. Chu, Y. Liu, H. Ren, Z. Li, and D. H. Owens, “Multiperiodic repetitive control for functional electrical stimulation-based wrist tremor suppression,” IEEE Trans. Control Syst. Technol., vol. 30, no. 4, pp. 1494–1509, Jul. 2022. doi: 10.1109/TCST.2021.3111107
    [100]
    R. P. A. Pereira, C. T. Valadao, E. M. O. Caldeira, J. L. F. Salles, and T. F. Bastos-Filho, “Repetitive control applied to a social robot for interaction with autistic children,” in XXVII Brazilian Congress on Biomedical Engineering: Proceedings of CBEB 2020, T. F. Bastos-Filho, E. M. de Oliveira Caldeira, and A. Frizera-Neto, Eds. Cham, Germany: Springer, 2022, pp. 1319−1324.
    [101]
    R. Costa-Castello, J. Nebot, and R. Griñó, “Demonstration of the internal model principle by digital repetitive control of an educational laboratory plant,” IEEE Trans. Educ., vol. 48, no. 1, pp. 73–80, Feb. 2005. doi: 10.1109/TE.2004.832873
    [102]
    T. Omata, S. Hara, and M. Nakano, “Nonlinear repetitive control with application to trajectory control of manipulators,” J. Robot. Syst., vol. 4, no. 5, pp. 631–652, Oct. 1987. doi: 10.1002/rob.4620040505
    [103]
    A. De Luca, L. Lanari, and G. Oriolo, “Control of redundant robots on cyclic trajectories,” in Proc. Int. Conf. Robotics and Automation, Nice, France, 1992, pp. 500−506.
    [104]
    Z. Xie, L. Jin, X. Luo, Z. Sun, and M. Liu, “RNN for repetitive motion generation of redundant robot manipulators: An orthogonal projection-based scheme,” IEEE Trans. Neural Netw. Learn. Syst., vol. 33, no. 2, pp. 615–628, Feb. 2022. doi: 10.1109/TNNLS.2020.3028304
    [105]
    J. H. She and M. Nakano, “Elimination of position-dependent disturbances in constant-speed-rotation control systems-a nonlinear compensation approach,” in Proc. 35th IEEE Conf. Decision and Control, Kobe, Japan, 1996, pp. 2701−2706.
    [106]
    N. Mooren, G. Witvoet, and T. Oomen, “Gaussian process repetitive control: Beyond periodic internal models through kernels,” Automatica, vol. 140, p. 110273, Jun. 2022. doi: 10.1016/j.automatica.2022.110273
    [107]
    N. Mooren, G. Witvoet, and T. Oomen, “Gaussian process repetitive control with application to an industrial substrate carrier system with spatial disturbances,” IEEE Trans. Control Syst. Technol., vol. 31, no. 1, pp. 344–358, Jan. 2023. doi: 10.1109/TCST.2022.3177000
    [108]
    W. Lu, K. Zhou, D. Wang, and M. Cheng, “A generic digital nk ±m-order harmonic repetitive control scheme for PWM converters,” IEEE Trans. Ind. Electron., vol. 61, no. 3, pp. 1516–1527, Mar. 2014. doi: 10.1109/TIE.2013.2258295
    [109]
    F. J. Zimann, R. C. Neto, F. A. S. Neves, H. E. P. de Souza, A. L. Batschauer, and C. Rech, “A complex repetitive controller based on the generalized delayed signal cancelation method,” IEEE Trans. Ind. Electron., vol. 66, no. 4, pp. 2857–2867, Apr. 2019. doi: 10.1109/TIE.2018.2847661
    [110]
    R. C. Neto, F. A. S. Neves, and H. E. P. De Souza, “Unified approach to evaluation of real and complex repetitive controllers,” IEEE Access, vol. 9, pp. 47960–47975, Mar. 2021. doi: 10.1109/ACCESS.2021.3068680
    [111]
    Z. Zhang, J. Huang, X. Wang, Y. Liu, C. Liu, and Z. Zhang, “An improved robust model predictive and repetitive combined control for three-phase four-leg active power filters with fixed switching frequency,” Energy Rep., vol. 8, pp. 14347–14361, Nov. 2022. doi: 10.1016/j.egyr.2022.10.430
    [112]
    L. Wang, C. T. Freeman, and E. Rogers, “Disturbance observer-based predictive repetitive control with constraints,” Int. J. Control, vol. 95, no. 4, pp. 1060–1069, Nov. 2022. doi: 10.1080/00207179.2020.1839674
    [113]
    M. Mitrevska, Z. Cao, J. Zheng, E. Kurniawan, and Z. Man, “Discrete terminal sliding mode repetitive control for a linear actuator with nonlinear friction and uncertainties,” Int. J. Robust Nonlinear Control, vol. 29, no. 13, pp. 4285–4297, Sept. 2019. doi: 10.1002/rnc.4639
    [114]
    E. Kurniawan, H. Wang, H. Septanto, H. Adinanta, S. Suryadi, H. Pratomo, and D. Hanto, “Design and analysis of higher-order repetitive sliding mode controller for uncertain linear systems with time-varying periodic disturbances,” Trans. Inst. Meas. Control, vol. 45, no. 12, pp. 2219–2234, Aug. 2023. doi: 10.1177/01423312221146604
    [115]
    J. Xu, Z. Wei, and S. Wang, “Active disturbance rejection repetitive control for current harmonic suppression of PMSM,” IEEE Trans. Power Electron., vol. 38, no. 11, pp. 14423–14437, Nov. 2023. doi: 10.1109/TPEL.2023.3307446
    [116]
    M. Zhang, C. Lu, S. Tian, Y. Wang, M. Wu, and M. Iwasaki, “Improved disturbance rejection in repetitive-control systems: Phase-compensated equivalent-input-disturbance approach,” IEEE Trans. Ind. Electron., vol. 71, no. 10, pp. 12942–12951, Oct. 2024.
    [117]
    M. Wu, L. Zhou, and J. She, “Design of observer-based H robust repetitive-control system,” IEEE Trans. Autom. Control, vol. 56, no. 6, pp. 1452–1457, Jun. 2011. doi: 10.1109/TAC.2011.2112473
    [118]
    V. R. Sule and E. Rogers, “A behavioral approach to the control of discrete linear repetitive processes,” Syst. Control Lett., vol. 53, no. 1, pp. 79–88, Sept. 2004. doi: 10.1016/j.sysconle.2004.02.023
    [119]
    M. Zhang, C. Lu, S. Tian, Y. Wang, M. Wu, and M. Iwasaki, “Independent design and optimization of control-learning performance for a nonlinear repetitive-control system,” IEEE/ASME Trans. Mechatron., vol. 29, no. 2, pp. 1409–1419, Apr. 2024. doi: 10.1109/TMECH.2023.3300698
    [120]
    J. W. Lin, “Repetitive control process for periodic disturbance cancellation using data classification with a fuzzy regression approach,” IEEE Access, vol. 8, pp. 202067–202074, Nov. 2020. doi: 10.1109/ACCESS.2020.3035788
    [121]
    R. P. Pereira, E. J. F. Andrade, J. L. F. Salles, C. T. Valadão, R. S. Monteiro, G. M. de Almeida, M. A. S. L. Cuadros, and T. F. Bastos-Filho, “Self-tuning regulatory controller of cyclical disturbances using data-driven frequency estimator based on fuzzy logic,” Eng. Appl. Artif. Intell., vol. 126, p. 106987, Nov. 2023. doi: 10.1016/j.engappai.2023.106987
    [122]
    J. W. Lin, P. F. Shen, and H. P. Wen, “Repetitive control mechanism of disturbance cancellation using a hybrid regression and genetic algorithm,” Mech. Syst. Signal Process., vol. 62−63, pp. 356–365, Oct. 2015. doi: 10.1016/j.ymssp.2014.12.014
    [123]
    Y. Wang, L. Zheng, H. Zhang, and W. X. Zheng, “Fuzzy observer-based repetitive tracking control for nonlinear systems,” IEEE Trans. Fuzzy Syst., vol. 28, no. 10, pp. 2401–2415, Oct. 2020. doi: 10.1109/TFUZZ.2019.2936808
    [124]
    R. Sakthivel, P. Selvaraj, and B. Kaviarasan, “Modified repetitive control design for nonlinear systems with time delay based on T-S fuzzy model,” IEEE Trans. Syst. Man. Cybern.: Syst., vol. 50, no. 2, pp. 646–655, Feb. 2020. doi: 10.1109/TSMC.2017.2756912
    [125]
    Y. Wang, M. Zhang, C. Lu, S. Tian, J. She, and M. Wu, “Deep optimization design of 2D repetitive control systems with saturating actuators: An adaptive multi-population PSO algorithm,” ISA Trans., vol. 140, pp. 342–353, Sept. 2023. doi: 10.1016/j.isatra.2023.05.017
    [126]
    C. Antony Crispin Sweety, S. Mohanapriya, O. M. Kwon, and R. Sakthivel, “Disturbance rejection in fuzzy systems based on two dimensional modified repetitive-control,” ISA Trans., vol. 106, pp. 97–108, Nov. 2020. doi: 10.1016/j.isatra.2020.07.019
    [127]
    R. Deng, Z. Yang, M. Y. Chow, and J. Chen, “A survey on demand response in smart grids: Mathematical models and approaches,” IEEE Trans. Ind. Inf., vol. 11, no. 3, pp. 570–582, Jun. 2015. doi: 10.1109/TII.2015.2414719
    [128]
    X. M. Zhang, Q. L. Han, X. Ge, D. Ding, L. Ding, D. Yue, and C. Peng, “Networked control systems: A survey of trends and techniques,” IEEE/CAA J. Autom. Sinica, vol. 7, no. 1, pp. 1–17, Jan. 2020.
    [129]
    J. Ghosh and B. Paden, “Nonlinear repetitive control,” IEEE Trans. Autom. Control, vol. 45, no. 5, pp. 949–954, May 2000. doi: 10.1109/9.855558
    [130]
    M. Sun and S. S. Ge, “Adaptive repetitive control for a class of nonlinearly parametrized systems,” IEEE Trans. Autom. Control, vol. 51, no. 10, pp. 1684–1688, Oct. 2006. doi: 10.1109/TAC.2006.883028
    [131]
    P. Mahmoudabadi and M. Tavakoli-Kakhki, “Tracking control with disturbance rejection of nonlinear fractional order fuzzy systems: Modified repetitive control approach,” Chaos Solitons Fractals, vol. 150, p. 111142, Sept. 2021. doi: 10.1016/j.chaos.2021.111142
    [132]
    R. Sakthivel, R. Kavikumar, Y. K. Ma, Y. Ren, and S. Marshal Anthoni, “Observer-based H repetitive control for fractional-order interval type-2 TS fuzzy systems,” IEEE Access, vol. 6, pp. 49828–49837, Sept. 2018. doi: 10.1109/ACCESS.2018.2867612
    [133]
    S. Mohanapriya, C. Antony Crispin Sweety, T. Satheesh, R. Sakthivel, and O. M. Kwon, “Modified equivalent input disturbance estimator-based active disturbance rejection for fractional-order T-S fuzzy stochastic systems,” Chaos Solitons Fractals, vol. 182, p. 114840, May 2024. doi: 10.1016/j.chaos.2024.114840
    [134]
    Q. Quan and K. Y. Cai, Filtered Repetitive Control with Nonlinear Systems. Singapore, Singapore: Springer, 2020.
    [135]
    Q. Quan and K. Y. Cai, “Sampled-data repetitive control for a class of non-minimum phase nonlinear systems subject to period variation,” Int. J. Syst. Sci., vol. 51, no. 4, pp. 704–718, Mar. 2020. doi: 10.1080/00207721.2020.1737755
    [136]
    D. V. Sabarianand, P. Karthikeyan, and T. Muthuramalingam, “A review on control strategies for compensation of hysteresis and creep on piezoelectric actuators based micro systems,” Mech. Syst. Signal Process., vol. 140, p. 106634, Jun. 2020. doi: 10.1016/j.ymssp.2020.106634
    [137]
    J. Na, X. Ren, R. Costa-Castelló, and Y. Guo, “Repetitive control of servo systems with time delays,” Robot. Auton. Syst., vol. 62, no. 3, pp. 319–329, Mar. 2014. doi: 10.1016/j.robot.2013.09.010
    [138]
    E. Kurniawan, H. Wang, J. A. Prakosa, P. Purwowibowo, and E. B. Pratiwi, “An improved repetitive controller with fractional time-delay for discrete-time linear systems: Synthesis and comparison study,” ISA Trans., vol. 146, pp. 511–527, Mar. 2024. doi: 10.1016/j.isatra.2023.12.035
    [139]
    P. Yu, M. Wu, J. She, K. Z. Liu, and Y. Nakanishi, “An improved equivalent-input-disturbance approach for repetitive control system with state delay and disturbance,” IEEE Trans. Ind. Electron., vol. 65, no. 1, pp. 521–531, Jan. 2018. doi: 10.1109/TIE.2017.2716906
    [140]
    S. Abd-Elhaleem, M. Soliman, and M. Hamdy, “Periodic event-triggered modified repetitive control with equivalent-input-disturbance estimator based on T-S fuzzy model for nonlinear systems,” Soft Comput., vol. 26, no. 13, pp. 6443–6459, May 2022. doi: 10.1007/s00500-022-06973-5
    [141]
    P. Selvaraj, O. M. Kwon, S. H. Lee, and R. Sakthivel, “Cluster synchronization of fractional-order complex networks via uncertainty and disturbance estimator-based modified repetitive control,” J. Franklin Inst., vol. 358, no. 18, pp. 9951–9974, Dec. 2021. doi: 10.1016/j.jfranklin.2021.10.008
    [142]
    X. Liu, G. Ma, P. R. Pagilla, and S. S. Ge, “Dissipativity-based asynchronous repetitive control for networked Markovian jump systems: 2-D system approach,” IEEE Trans. Control Netw. Syst., vol. 7, no. 3, pp. 1212–1224, Sept. 2020. doi: 10.1109/TCNS.2020.2966638
    [143]
    G. Ma, M. Ghasemi, and X. Song, “Event-triggered modified repetitive control for periodic signal tracking,” IEEE Trans. Circuits Syst. II: Express Briefs, vol. 66, no. 1, pp. 86–90, Jan. 2019. doi: 10.1109/tcsii.2018.2825945
    [144]
    L. Zhou, D. Gao, and J. She, “Tracking control for a position-dependent periodic signal in a variable-speed rotational system,” Automatica, vol. 158, p. 111282, Dec. 2023. doi: 10.1016/j.automatica.2023.111282
    [145]
    R. S. Castro, J. V. Flores, and A. T. Salton, “Robust discrete-time spatial repetitive controller,” IEEE Trans. Control Syst. Technol., vol. 27, no. 6, pp. 2696–2702, Nov. 2019. doi: 10.1109/TCST.2018.2866978
    [146]
    W. S. Yao, M. C. Tsai, and Y. Yamamoto, “Implementation of repetitive controller for rejection of position-based periodic disturbances,” Control Eng. Pract., vol. 21, no. 9, pp. 1226–1237, Sept. 2013. doi: 10.1016/j.conengprac.2013.04.010
    [147]
    Q. Liu, X. Huo, K. Z. Liu, and H. Zhao, “Accurate cycle aligned repetitive control for the rejection of spatially cyclic disturbances,” IEEE Trans. Ind. Electron., vol. 69, no. 6, pp. 6173–6181, Jun. 2022. doi: 10.1109/TIE.2021.3086705
    [148]
    G. A. Ramos, J. Cortés-Romero, and H. Coral-Enriquez, “Spatial observer-based repetitive controller: An active disturbance rejection approach,” Control Eng. Pract., vol. 42, pp. 1–11, Sept. 2015. doi: 10.1016/j.conengprac.2015.05.002

Catalog

    通讯作者: 陈斌, bchen63@163.com
    • 1. 

      沈阳化工大学材料科学与工程学院 沈阳 110142

    1. 本站搜索
    2. 百度学术搜索
    3. 万方数据库搜索
    4. CNKI搜索

    Figures(19)  / Tables(3)

    Article Metrics

    Article views (178) PDF downloads(16) Cited by()

    /

    DownLoad:  Full-Size Img  PowerPoint
    Return
    Return