A journal of IEEE and CAA , publishes high-quality papers in English on original theoretical/experimental research and development in all areas of automation
Volume 8 Issue 11
Nov.  2021

IEEE/CAA Journal of Automatica Sinica

  • JCR Impact Factor: 19.2, Top 1 (SCI Q1)
    CiteScore: 28.2, Top 1% (Q1)
    Google Scholar h5-index: 95, TOP 5
Turn off MathJax
Article Contents
Z. J. Li, J. Zhao, "Adaptive Consensus of Non-Strict Feedback Switched Multi-Agent Systems With Input Saturations," IEEE/CAA J. Autom. Sinica, vol. 8, no. 11, pp. 1752-1761, Nov. 2021. doi: 10.1109/JAS.2021.1004165
Citation: Z. J. Li, J. Zhao, "Adaptive Consensus of Non-Strict Feedback Switched Multi-Agent Systems With Input Saturations," IEEE/CAA J. Autom. Sinica, vol. 8, no. 11, pp. 1752-1761, Nov. 2021. doi: 10.1109/JAS.2021.1004165

Adaptive Consensus of Non-Strict Feedback Switched Multi-Agent Systems With Input Saturations

doi: 10.1109/JAS.2021.1004165
Funds:  This work was supported in part by the National Key Research and Development Program (2018YFA0702202), in part by the Leadingedge Technology Program of Jiangsu National Science Foundation (BK20202011), in part by the Research Grants of the Nanjing University of Posts and Telecommunications (NY220158, NY220177)
More Information
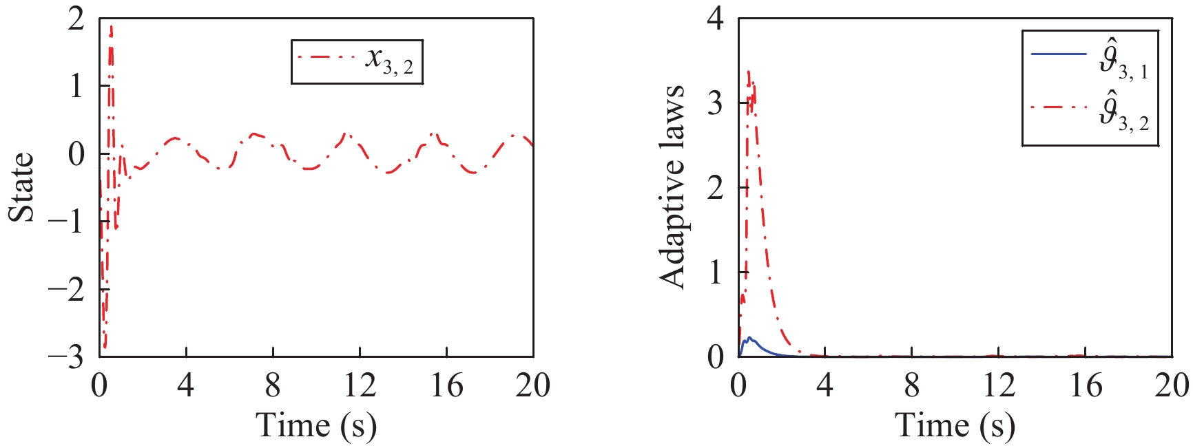
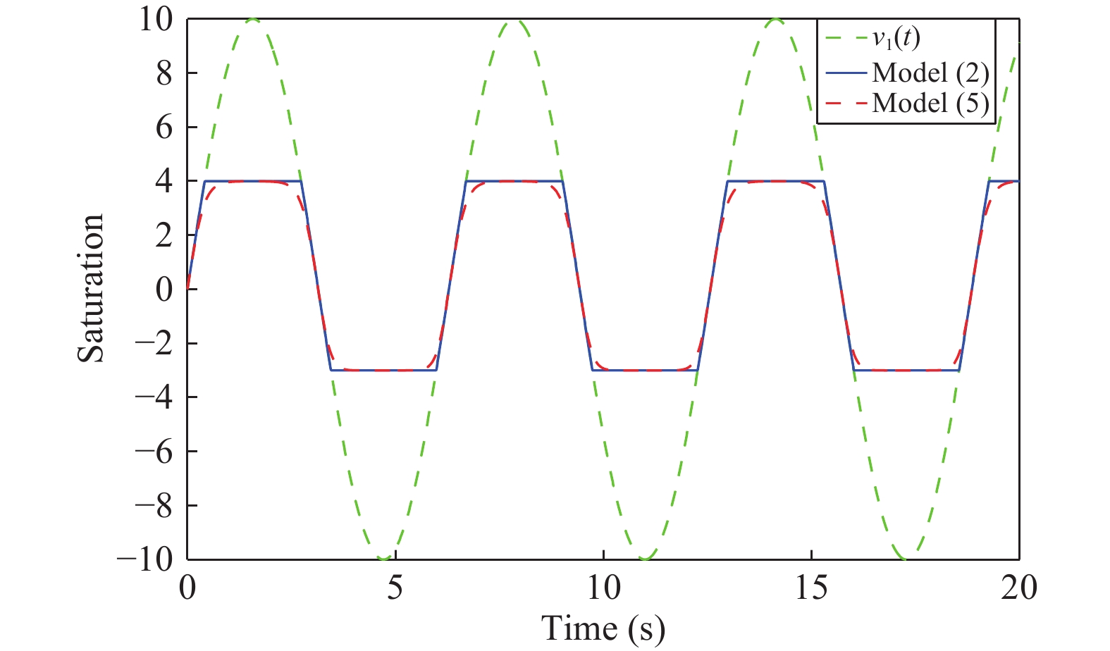
  • This paper considers the leader-following consensus for a class of nonlinear switched multi-agent systems (MASs) with non-strict feedback forms and input saturations under unknown switching mechanisms. First, in virtue of Gaussian error functions, the saturation nonlinearities are represented by asymmetric saturation models. Second, neural networks are utilized to approximate some unknown packaged functions, and the structural property of Gaussian basis functions is introduced to handle the non-strict feedback terms. Third, by using the backstepping process, a common Lyapunov function is constructed for all the subsystems of the followers. At last, we propose an adaptive consensus protocol, under which the tracking error under arbitrary switching converges to a small neighborhood of the origin. The effectiveness of the proposed protocol is illustrated by a simulation example.

     

  • loading
  • [1]
    L. Ding, Q.-L. Han, X. Ge, and X.-M. Zhang, “An overview of recent advances in event-triggered consensus of multiagent systems,” IEEE Trans. Cybernetics, vol. 48, no. 4, pp. 1110–1123, 2017.
    [2]
    X. Ge, F. Yang, and Q.-L. Han, “Distributed networked control systems: A brief overview,” Information Sciences, vol. 380, pp. 117–131, 2017. doi: 10.1016/j.ins.2015.07.047
    [3]
    C. Wang, X. Wang, and H. Ji, “A continuous leader-following consensus control strategy for a class of uncertain multi-agent systems,” IEEE/CAA J. Autom. Sinica, vol. 1, no. 2, pp. 187–192, 2014. doi: 10.1109/JAS.2014.7004549
    [4]
    Y. Cao and W. Ren, “Finite-time consensus for multi-agent networks with unknown inherent nonlinear dynamics,” Automatica, vol. 50, no. 10, pp. 2648–2656, 2014. doi: 10.1016/j.automatica.2014.08.028
    [5]
    X. Zhang, Z. Peng, S. Yang, G. Wen, and A. Rahmani, “Distributed fixed-time consensus-based formation tracking for multiple nonholonomic wheeled mobile robots under directed topology,” Int. J. of Control, vol. 94, no. 1, pp. 248–257, 2021.
    [6]
    X. Ge, Q.-L. Han, and F. Yang, “Event-based set-membership leaderfollowing consensus of networked multi-agent systems subject to limited communication resources and unknown-but-bounded noise,” IEEE Trans. Industrial Electronics, vol. 64, no. 6, pp. 5045–5054, 2017. doi: 10.1109/TIE.2016.2613929
    [7]
    W. He, B. Xu, Q.-L. Han and F. Qian, “Adaptive consensus control of linear multiagent systems with dynamic event-triggered strategies,” IEEE Trans. Cybernetics, vol. 50, no. 7, pp. 2996–3008, 2020. doi: 10.1109/TCYB.2019.2920093
    [8]
    Z. Li, X. Liu, W. Ren, and L. Xie, “Distributed tracking control for linear multiagent systems with a leader of bounded unknown input,” IEEE Trans. Autom. Control, vol. 58, no. 2, pp. 518–523, 2012.
    [9]
    S. El-Ferik, A. Qureshi, and F. L. Lewis, “Neuro-adaptive cooperative tracking control of unknown higher-order affine nonlinear systems,” Automatica, vol. 50, no. 3, pp. 798–808, 2014. doi: 10.1016/j.automatica.2013.12.033
    [10]
    P. Shi and Q. Shen, “Cooperative control of multi-agent systems with unknown state-dependent controlling effects,” IEEE Trans. Autom. Science and Engineering, vol. 12, no. 3, pp. 827–834, 2015. doi: 10.1109/TASE.2015.2403261
    [11]
    M. Zhou, Z. Cao, M. Zhou, and J. Wang, “Finite-frequency H_/H fault detection for discrete-time ts fuzzy systems with unmeasurable premise variables,” IEEE Trans. Cybernetics, to be published, 2019.
    [12]
    L. Liu, Y.-J. Liu, and S. Tong, “Neural networks-based adaptive finitetime fault-tolerant control for a class of strict-feedback switched nonlinear systems,” IEEE Trans. Cybernetics, vol. 49, no. 7, pp. 2536–2545, 2018.
    [13]
    F. Wang, B. Chen, C. Lin, J. Zhang, and X. Meng, “Adaptive neural network finite-time output feedback control of quantized nonlinear systems,” IEEE Trans. Cybernetics, vol. 48, no. 6, pp. 1839–1848, 2017.
    [14]
    Z. Li and J. Zhao, “Fuzzy adaptive robust control for stochastic switched nonlinear systems with full-state dependent nonlinearities,” IEEE Trans. Fuzzy Systems, vol. 28, no. 9, pp. 2035–2047, 2020. doi: 10.1109/TFUZZ.2019.2930034
    [15]
    L. Long and T. Si, “Small-gain technique-based adaptive nn control for switched pure-feedback nonlinear systems,” IEEE Trans. Cybernetics, vol. 49, no. 5, pp. 1873–1884, 2019. doi: 10.1109/TCYB.2018.2815714
    [16]
    G. Cui, S. Xu, F. L. Lewis, B. Zhang, and Q. Ma, “Distributed consensus tracking for non-linear multi-agent systems with input saturation: a command filtered backstepping approach,” IET Control Theory &Applications, vol. 10, no. 5, pp. 509–516, 2016.
    [17]
    C. Hua, L. Zhang, and X. Guan, “Distributed adaptive neural network output tracking of leader-following high-order stochastic nonlinear multiagent systems with unknown dead-zone input,” IEEE Trans. Cybernetics, vol. 47, no. 1, pp. 177–185, 2015.
    [18]
    Q. Shen, P. Shi, J. Zhu, S. Wang, and Y. Shi, “Neural networks-based distributed adaptive control of nonlinear multiagent systems,” IEEE Trans. Neural Networks and Learning Systems, vol. 31, no. 3, pp. 1010–1021, 2020.
    [19]
    F. Wang, B. Chen, C. Lin, and X. Li, “Distributed adaptive neural control for stochastic nonlinear multiagent systems,” IEEE Trans. Cybernetics, vol. 47, no. 7, pp. 1795–1803, 2016.
    [20]
    Z. Qin, X. He, G. Li, and Y. Wu, “Robust adaptive consensus of nonstrict-feedback multi-agent systems with quantized input and unmodeled dynamics,” Information Sciences, vol. 498, pp. 117–134, 2019. doi: 10.1016/j.ins.2019.05.051
    [21]
    Y. Shang, B. Chen, and C. Lin, “Neural adaptive tracking control for a class of high-order non-strict feedback nonlinear multi-agent systems,” Neurocomputing, vol. 316, pp. 59–67, 2018. doi: 10.1016/j.neucom.2018.07.051
    [22]
    L. Long and T. Si, “Small-gain technique-based adaptive NN control for switched pure-feedback nonlinear systems,” IEEE Trans. Cybernetics, vol. 49, no. 5, pp. 1873–1884, 2018.
    [23]
    Z. Li and J. Zhao, “Co-design of controllers and a switching policy for nonstrict feedback switched nonlinear systems including first-order feedforward paths,” IEEE Trans. Autom. Control, vol. 64, no. 4, pp. 1753–1760, 2019. doi: 10.1109/TAC.2018.2863209
    [24]
    X.-M. Sun, G.-P. Liu, D. Rees, and W. Wang, “Delay-dependent stability for discrete systems with large delay sequence based on switching techniques,” Automatica, vol. 44, no. 11, pp. 2902–2908, 2008. doi: 10.1016/j.automatica.2008.04.006
    [25]
    B. Liu, D. J. Hill, and Z. Sun, “Input-to-state-KL-stability and criteria for a class of hybrid dynamical systems,” Applied Mathematics and Computation, vol. 326, pp. 124–140, 2018. doi: 10.1016/j.amc.2018.01.002
    [26]
    Y. Tan, M. Zhou, Y. Wang, X. Guo, and L. Qi, “A hybrid mip-cp approach to multistage scheduling problem in continuous casting and hot-rolling processes,” IEEE Trans. Autom. Science and Engineering, vol. 16, no. 4, pp. 1860–1869, 2019. doi: 10.1109/TASE.2019.2894093
    [27]
    B. Liu, D. J. Hill, and Z. Sun, “Input-to-state exponents and related iss for delayed discrete-time systems with application to impulsive effects,” Int. J. of Robust and Nonlinear Control, vol. 28, no. 2, pp. 640–660, 2018. doi: 10.1002/rnc.3891
    [28]
    X. Ge and Q.-L. Han, “Consensus of multiagent systems subject to partially accessible and overlapping markovian network topologies,” IEEE Trans. Cybernetics, vol. 47, no. 8, pp. 1807–1819, 2017. doi: 10.1109/TCYB.2016.2570860
    [29]
    Z. Sun and S. S. Ge, Stability Theory of Switched Dynamical Systems. London, UK: Springer Science & Business Media, 2011.
    [30]
    X.-M. Zhang, Q.-L. Han, X. Ge, D. Ding, L. Ding, D. Yue, and C. Peng, “Networked control systems: a survey of trends and techniques,” IEEE/CAA Journal of Automatica Sinica, to be published, 2019.
    [31]
    J. Fu, R. Ma, and T. Chai, “Global finite-time stabilization of a class of switched nonlinear systems with the powers of positive odd rational numbers,” Automatica, vol. 54, pp. 360–373, 2015. doi: 10.1016/j.automatica.2015.02.023
    [32]
    Y. Chang, G. Zhai, B. Fu, and L. Xiong, “Quadratic stabilization of switched uncertain linear systems: A convex combination approach,” IEEE/CAA J. Autom. Sinica, vol. 6, no. 5, pp. 1116–1126, 2019. doi: 10.1109/JAS.2019.1911681
    [33]
    L. Long, “Multiple Lyapunov functions-based small-gain theorems for switched interconnected nonlinear systems,” IEEE Trans. Autom. Control, vol. 62, no. 8, pp. 3943–3958, 2017. doi: 10.1109/TAC.2017.2648740
    [34]
    R. Ma and S. An, “Minimum dwell time for global exponential stability of a class of switched positive nonlinear systems,” IEEE/CAA J. Autom. Sinica, vol. 6, no. 2, pp. 471–477, 2018.
    [35]
    J. Zhao, D. J. Hill, and T. Liu, “Synchronization of complex dynamical networks with switching topology: A switched system point of view,” Automatica, vol. 45, no. 11, pp. 2502–2511, 2009. doi: 10.1016/j.automatica.2009.07.013
    [36]
    W. Zou, P. Shi, Z. Xiang, and Y. Shi, “Consensus tracking control of switched stochastic nonlinear multiagent systems via event-triggered strategy,” IEEE Trans. Neural Networks and Learning Systems, vol. 31, no. 3, pp. 1036–1045, 2020.
    [37]
    S. J. Yoo, “Distributed low-complexity fault-tolerant consensus tracking of switched uncertain nonlinear pure-feedback multi-agent systems under asynchronous switching,” Nonlinear Analysis:Hybrid Systems, vol. 32, pp. 239–253, 2019. doi: 10.1016/j.nahs.2018.12.004
    [38]
    Y. Su, Q. Wang, and C. Sun, “Self-triggered consensus control for linear multi-agent systems with input saturation,” IEEE/CAA J. Autom. Sinica, vol. 7, no. 1, pp. 150–157, 2019.
    [39]
    A. Peydayesh, M. M. Arefi, and H. Modares, “Distributed neuro-adaptive control protocols for non-strict feedback non-linear mass with input saturation,” IET Control Theory &Applications, vol. 12, no. 11, pp. 1611–1620, 2018.
    [40]
    H. Min, S. Xu, B. Zhang, and Q. Ma, “Output-feedback control for stochastic nonlinear systems subject to input saturation and time-varying delay,” IEEE Trans. Autom. Control, vol. 64, no. 1, pp. 359–364, 2018.
    [41]
    J. Ma, S. S. Ge, Z. Zheng, and D. Hu, “Adaptive NN control of a class of nonlinear systems with asymmetric saturation actuators,” IEEE Trans. Neural Networks and Learning Systems, vol. 26, no. 7, pp. 1532–1538, 2015. doi: 10.1109/TNNLS.2014.2344019
    [42]
    W. Si and X. Dong, “Adaptive neural control for MIMO stochastic nonlinear pure-feedback systems with input saturation and full-state constraints,” Neurocomputing, vol. 275, pp. 298–307, 2018. doi: 10.1016/j.neucom.2017.08.038
    [43]
    H. Zhang and F. L. Lewis, “Adaptive cooperative tracking control of higher-order nonlinear systems with unknown dynamics,” Automatica, vol. 48, no. 7, pp. 1432–1439, 2012. doi: 10.1016/j.automatica.2012.05.008
    [44]
    R. Shahnazi and W. Wang, “Distributed adaptive fbc of uncertain nonaffine multiagent systems preceded by unknown input nonlinearities with unknown gain sign,” IEEE Trans. Systems,Man,and Cybernetics:Systems, vol. 50, no. 8, pp. 3036–3046, 2020.
    [45]
    X. Ge, Q.-L. Han, M. Zhong, and X.-M. Zhang, “Distributed Krein space-based attack detection over sensor networks under deception attacks,” Automatica, vol. 109, Article No. 108557, 2019. doi: 10.1016/j.automatica.2019.108557
    [46]
    X.-F. Wang, X.-M. Sun, A. R. Teel, and K.-Z. Liu, “Distributed robust Nash equilibrium seeking for aggregative games under persistent attacks: A hybrid systems approach,” Automatica, vol. 122, Article No. 109255, 2020. doi: 10.1016/j.automatica.2020.109255
    [47]
    W. He, Z. Mo, Q.-L. Han and F. Qian, “Secure impulsive synchronization in Lipschitz-type multi-agent systems subject to deception attacks,” IEEE/CAA J. Autom. Sinica, vol. 7, no. 5, pp. 1326–1334, 2020.

Catalog

    通讯作者: 陈斌, bchen63@163.com
    • 1. 

      沈阳化工大学材料科学与工程学院 沈阳 110142

    1. 本站搜索
    2. 百度学术搜索
    3. 万方数据库搜索
    4. CNKI搜索

    Figures(11)

    Article Metrics

    Article views (1709) PDF downloads(118) Cited by()

    Highlights

    • An adaptive consensus protocol for non-strict feedback switched multi-agent systems with input saturation is proposed
    • The structural property of Gaussian basis functions is introduced to handle the non-strict feedback terms
    • Common Lyapunov function is constructed for all the subsystems to deal with unknown switching mechanisms

    /

    DownLoad:  Full-Size Img  PowerPoint
    Return
    Return